题目内容

在核反应堆中,常用减速剂使快中子减速.假设减速剂的原子核质量是中子的k倍,中子与原子核的每次碰撞都可看成是弹性正碰.设每次碰撞前原子核可认为是静止的,求N次碰撞后中子速率与原速率之比.

 

【答案】

【解析】

试题分析:设中子和做减速剂的物质的原子核A的质量分别为,碰撞后速度分别为.碰撞前后的总动量和总能量守恒,有

式中为碰撞前中子速度.由题设

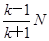
由①②③式得,经1次碰撞后中子速率和原速率之比为

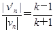
经N次碰撞后,中子速率与原速率之比为

.⑤

考点:考查了动量守恒定律的应用

点评:本题的关键是把握碰撞前后的总动量和总能量守恒列式求解

 

练习册系列答案
相关题目

违法和不良信息举报电话:027-86699610 举报邮箱:58377363@163.com

精英家教网