题目内容
如图所示,有一柔软链条全长为L=1.0m,质量均匀分布,总质量为M=2.0kg.链条均匀带正电,总带电量Q=1.0×10-6C、将链条放在离地足够高的水平绝缘桌面上.空间存在竖直向下的匀强电场,电场强度的大小E=2.0×107V/m.若桌面与链条之间的动摩擦因数为μ=0.5,链条在桌面上运动时电量保持不变(重力加速度取g=10m/s2).给链条一个向右的初动能,试求:(1)当桌面下的链条多长时,桌面下的链条所受到的重力恰好等于链条受到的滑动摩擦力;
(2)能使链条从桌面上全部滑下所需的最小初动能.
【答案】分析:(1)设桌面下的链条长为x,链条质量分布均匀,所以在桌面下的链条的质量为
,链条的重心还在桌面上,所以对桌子的压力等于整个链条的重力加上电场力,根据两者相等即可求解;
(2)当链条下滑0.5 m后就会自动下滑,此时速度正好为零时所需初动能最小,根据动能定理即可求解;
解答:解:设桌面下的链条长为x,链条质量分布均匀,所以在桌面下的链条的质量为
,则有:
(Mg+QE),
解得x=0.5 m,
(2)链条下滑0.5 m后就会自动下滑,此时速度正好为零时所需初动能最小,根据动能定理有:
-Wf=0-Ek0,
由于f和N成正比,N和链条下滑的长度成正比,所以f是均匀变化的.
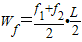
可以根据平均摩擦力来求Wf

f1是最初瞬间的摩擦力,即fMAX,所以f1=20N
f2是下滑0.5m时的摩擦力,由第二问得知,其大小等于半根链条的重力,f2=10N
解得:Ek0=
=7.5-2.5J=5J.
答:(1)当桌面下的链条0.5m时,桌面下的链条所受到的重力恰好等于链条受到的滑动摩擦力;
(2)从桌面上滑下全部链条所需的最小初动能为5J.
点评:解决本题要知道最大静摩擦力约等于滑动摩擦力,链条下滑一半后就会自动下滑,难度适中.
(2)当链条下滑0.5 m后就会自动下滑,此时速度正好为零时所需初动能最小,根据动能定理即可求解;
解答:解:设桌面下的链条长为x,链条质量分布均匀,所以在桌面下的链条的质量为
解得x=0.5 m,
(2)链条下滑0.5 m后就会自动下滑,此时速度正好为零时所需初动能最小,根据动能定理有:
由于f和N成正比,N和链条下滑的长度成正比,所以f是均匀变化的.
可以根据平均摩擦力来求Wf
f1是最初瞬间的摩擦力,即fMAX,所以f1=20N
f2是下滑0.5m时的摩擦力,由第二问得知,其大小等于半根链条的重力,f2=10N
解得:Ek0=
答:(1)当桌面下的链条0.5m时,桌面下的链条所受到的重力恰好等于链条受到的滑动摩擦力;
(2)从桌面上滑下全部链条所需的最小初动能为5J.
点评:解决本题要知道最大静摩擦力约等于滑动摩擦力,链条下滑一半后就会自动下滑,难度适中.
练习册系列答案
相关题目