题目内容
汽车在平直公路上做初速度为零的匀加速直线运动.途中用了6s时间经过A、B两根电杆,已知A、B间的距离为60m,车经过B时的速度为15m/s,则( )A.经过A杆时速度为5m/s
B.车的加速度为15m/s2
C.车从出发到B杆所用时间为9s
D.从出发点到A杆的距离是7.5m
【答案】分析:先解出AB之间的平均速度,即为AB中间时刻的瞬时速度,根据加速度的定义求得加速度,根据速度公式求得A点的速度和到达B所用的时间,用速度和位移的关系公式求得从出发点到A点的距离.
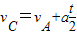
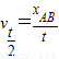
解答:解:A、B:根据中间时刻的瞬时速度等于这段时间内的平均速度,得AB中间时刻的速度为:
vC=
=
.
根据加速度的定义,
=
=
.故B错误.
根据速度公式,
故
.故A正确.
C、根据速度公式:
,故C正确.
D、从出发点到A杆的距离为:
,故D正确.
故选ACD.
点评:此题难度不大,关键是能熟练记得并理解匀变速运动的基本公式,此题的突破口是先求出加速度.此题属于中档题.
解答:解:A、B:根据中间时刻的瞬时速度等于这段时间内的平均速度,得AB中间时刻的速度为:
vC=
根据加速度的定义,
根据速度公式,
故
C、根据速度公式:
D、从出发点到A杆的距离为:
故选ACD.
点评:此题难度不大,关键是能熟练记得并理解匀变速运动的基本公式,此题的突破口是先求出加速度.此题属于中档题.
练习册系列答案
相关题目