ÌâÄ¿ÄÚÈÝ
ÈçͼËùʾ£¬¹Ì¶¨ÔÚÍ¬Ò»Ë®Æ½ÃæÄÚµÄÁ½¸ùƽÐг¤Ö±½ðÊôµ¼¹ìµÄ¼ä¾àΪd£¬ÆäÓҶ˽ÓÓÐ×èֵΪRµÄµç×裬Õû¸ö×°Öô¦ÔÚÊúÖ±ÏòÉÏ¡¢´Å¸ÐӦǿ¶È´óСΪBµÄÔÈÇ¿´Å³¡ÖУ®Ò»ÖÊÁ¿ÎªmµÄµ¼Ìå¸Ëab´¹Ö±ÓÚµ¼¹ì·ÅÖã¬ÇÒÓëÁ½µ¼¹ì±£³ÖÁ¼ºÃ½Ó´¥£¬¸ËÓëµ¼¹ìÖ®¼äµÄ¶¯Ä¦²ÁÒòÊýΪ¦Ì£®ÏÖµ¼Ìå¸ËÔÚˮƽÏò×ó¡¢´¹Ö±Óڸ˵ĺãÁ¦F£¨´óСδ֪£©×÷ÓÃÏ´Ӿ²Ö¹¿ªÊ¼Ô˶¯£¬Ñص¼¹ìÔ˶¯¾àÀëLʱ£¬Ç¡ºÃ´ïµ½×î´óËÙ¶Èvm£®Ô˶¯¹ý³ÌÖе¼Ìå¸ËʼÖÕÓëµ¼¹ì±£³Ö´¹Ö±£®Éèµ¼Ìå¸Ë½ÓÈëµç·µÄµç×èΪr£¬µ¼¹ìµç×è²»¼Æ£¬ÖØÁ¦¼ÓËÙ¶ÈΪg£®Ç󣺣¨1£©µ±µ¼Ìå¸Ë´ïµ½×î´óËÙ¶Èvmʱ£¬µç×èRµÄÈȹ¦ÂÊ£»
£¨2£©ºãÁ¦FµÄ´óС£»
£¨3£©´Óµ¼Ìå¸ËÓɾ²Ö¹¿ªÊ¼Ô˶¯µ½´ïµ½×î´óËÙ¶ÈÕâ¶Îʱ¼äÄÚ£¬µç×èRÉϲúÉúµÄÈÈÁ¿£®
¡¾´ð°¸¡¿·ÖÎö£º£¨1£©¸ù¾Ý·¨ÀµÚµç´Å¸ÐÓ¦¶¨ÂÉÇóµÃµ¼Ìå°ôÉϲúÉúµÄµç¶¯ÊÆ£¬¸ù¾Ý²¿·Öµç·µÄÅ·Ä·¶¨ÂÉÇóµÃ»ØÂ·ÖеĵçÁ÷£¬´úÈëÈȹ¦ÂʵĹ«Ê½¼´¿É£»
£¨2£©¸ËÔÚºãÁ¦F×÷ÓÃÏ´Ӿ²Ö¹¿ªÊ¼Ñص¼¹ìÔ˶¯£¬ÏÈ×ö¼ÓËٶȼõСµÄ¼ÓËÙÔ˶¯£¬ºó×öÔÈËÙÔ˶¯£¬ËÙ¶È´ïµ½×î´ó£¬´Ëʱ£¬ÀÁ¦ÓëĦ²ÁÁ¦¡¢°²ÅàÁ¦Æ½ºâ£¬ÓÉÆ½ºâÌõ¼þºÍ°²ÅàÁ¦¹«Ê½Çó½â×î´óËÙ¶È£®
£¨3£©¸ù¾Ý¹¦ÄܹØÏµºÍ½¹¶ú¶¨ÂÉÇó½âµç×èRÉϵķ¢ÈÈÁ¿£®
½â´ð£º
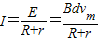
½â£º£¨1£©µ±µ¼Ìå¸Ë´ïµ½×î´óËÙ¶Èʱ£¬²úÉúµÄ¸ÐÓ¦µç¶¯ÊÆE=Bdvm£¬
»ØÂ·ÖеçÁ÷
£¬
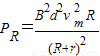
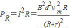
ËùÒÔ£¬´Ëʱµç×èRµÄÈȹ¦ÂÊ
£»
£¨2£©µ±µ¼Ìå¸Ë´ïµ½×î´óËÙ¶Èʱ£¬¶Ôµ¼Ìå¸ËÊÜÁ¦·ÖÎöÈçͼËùʾ£¬
´ËʱÂú×㣺F=¦Ìmg+Bid£¬
ËùÒÔ£¬
£»
£¨3£©´Óµ¼Ìå¸ËÓɾ²Ö¹¿ªÊ¼Ô˶¯µ½´ïµ½×î´óËÙ¶ÈÕâ¶Îʱ¼äÄÚ£¬»ØÂ·ÖвúÉúµÄµçÈÈΪQ£¬
ÓÉÄÜÁ¿Êغ㶨Âɵã¬
£¬
°Ñ£¨2£©ÖÐËùÇóF´øÈëÉÏʽµÃ£º
£¬
ËùÒÔ£¬µç×èRÉϲúÉúµÄÈÈÁ¿
£®
´ð£º£¨1£©µ±µ¼Ìå¸Ë´ïµ½×î´óËÙ¶Èvmʱ£¬µç×èRµÄÈȹ¦ÂÊ
£»
£¨2£©ºãÁ¦FµÄ´óСΪ
£»
£¨3£©´Óµ¼Ìå¸ËÓɾ²Ö¹¿ªÊ¼Ô˶¯µ½´ïµ½×î´óËÙ¶ÈÕâ¶Îʱ¼äÄÚ£¬µç×èRÉϲúÉúµÄÈÈÁ¿
£®
µãÆÀ£º±¾Ìâ¸ËµÄ×î´óËٶȳ£³ÆÎªÊÕβËÙ¶È£¬°²ÅàÁ¦ÊÇ·ÖÎö¸ËÔ˶¯¹ý³ÌµÄ¹Ø¼ü£®
£¨2£©¸ËÔÚºãÁ¦F×÷ÓÃÏ´Ӿ²Ö¹¿ªÊ¼Ñص¼¹ìÔ˶¯£¬ÏÈ×ö¼ÓËٶȼõСµÄ¼ÓËÙÔ˶¯£¬ºó×öÔÈËÙÔ˶¯£¬ËÙ¶È´ïµ½×î´ó£¬´Ëʱ£¬ÀÁ¦ÓëĦ²ÁÁ¦¡¢°²ÅàÁ¦Æ½ºâ£¬ÓÉÆ½ºâÌõ¼þºÍ°²ÅàÁ¦¹«Ê½Çó½â×î´óËÙ¶È£®
£¨3£©¸ù¾Ý¹¦ÄܹØÏµºÍ½¹¶ú¶¨ÂÉÇó½âµç×èRÉϵķ¢ÈÈÁ¿£®
½â´ð£º
»ØÂ·ÖеçÁ÷
ËùÒÔ£¬´Ëʱµç×èRµÄÈȹ¦ÂÊ
£¨2£©µ±µ¼Ìå¸Ë´ïµ½×î´óËÙ¶Èʱ£¬¶Ôµ¼Ìå¸ËÊÜÁ¦·ÖÎöÈçͼËùʾ£¬
´ËʱÂú×㣺F=¦Ìmg+Bid£¬
ËùÒÔ£¬
£¨3£©´Óµ¼Ìå¸ËÓɾ²Ö¹¿ªÊ¼Ô˶¯µ½´ïµ½×î´óËÙ¶ÈÕâ¶Îʱ¼äÄÚ£¬»ØÂ·ÖвúÉúµÄµçÈÈΪQ£¬
ÓÉÄÜÁ¿Êغ㶨Âɵã¬
°Ñ£¨2£©ÖÐËùÇóF´øÈëÉÏʽµÃ£º
ËùÒÔ£¬µç×èRÉϲúÉúµÄÈÈÁ¿
´ð£º£¨1£©µ±µ¼Ìå¸Ë´ïµ½×î´óËÙ¶Èvmʱ£¬µç×èRµÄÈȹ¦ÂÊ
£¨2£©ºãÁ¦FµÄ´óСΪ
£¨3£©´Óµ¼Ìå¸ËÓɾ²Ö¹¿ªÊ¼Ô˶¯µ½´ïµ½×î´óËÙ¶ÈÕâ¶Îʱ¼äÄÚ£¬µç×èRÉϲúÉúµÄÈÈÁ¿
µãÆÀ£º±¾Ìâ¸ËµÄ×î´óËٶȳ£³ÆÎªÊÕβËÙ¶È£¬°²ÅàÁ¦ÊÇ·ÖÎö¸ËÔ˶¯¹ý³ÌµÄ¹Ø¼ü£®
Á·Ï°²áϵÁдð°¸
Ïà¹ØÌâÄ¿
A¡¢¸ËµÄËÙ¶È×î´óֵΪ
| ||
B¡¢Á÷¹ýµç×èRµÄµçÁ¿Îª
| ||
| C¡¢ºãÁ¦F×öµÄ¹¦ÓëĦ²ÁÁ¦×öµÄ¹¦Ö®ºÍµÈÓڸ˶¯Äܵı仯Á¿ | ||
| D¡¢ºãÁ¦F×öµÄ¹¦Óë°²ÅàÁ¦×öµÄ¹¦Ö®ºÍ´óÓڸ˶¯Äܵı仯Á¿ |