题目内容

物体以v0 = 20m/s的初速水平抛出.

(1)t1 = ______s后水平分位移和竖直分位移相等?

(2)t2 =______s后水平分速度与竖直分速度相等?

答案:4;2
解析:

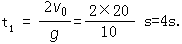
解:(1)平抛运动的水平分位移和竖直分位移分别为

 x = v0t和y = gt2.按题意, 当x = y, 

即v0t = gt2时, 有

(2)平抛运动的水平速度和竖直分速度分别为

vx = v0,vy = gt,当vx = vy时,有

gt = v0,t2 = s = 2s.


练习册系列答案
相关题目

违法和不良信息举报电话:027-86699610 举报邮箱:58377363@163.com

精英家教网