题目内容

如图所示,P、N是两个长为L的平行板,它们相距L,今有一个质量为m、带电量为q的正电荷以速度v沿平行板面的方向贴着P板从一端打入.①如果板间加一个垂直于纸面向外的磁场后,该带电粒子可以打出平行板区域,试求磁场的磁感应强度B的取值范围;②如果板间加一个垂直于板面从P板指向N板的电场后,带电粒子可从板间射出,则所加电场的场强怎样取值?(带电粒子的重力不计)

答案:
解析:

  (1)根据牛顿第二定律得:

  当从N板右端射出时:

  当从N板左端射出时:

  所以:B的取值范围为

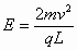
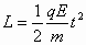
  (2)根据类平抛运动的规律得:

  

  联立解得:

  要想射出,则有:


练习册系列答案
相关题目

违法和不良信息举报电话:027-86699610 举报邮箱:58377363@163.com

精英家教网