ÌâÄ¿ÄÚÈÝ
Ó¢¹úÎïÀíѧ¼Ò¿¨ÎĵÏÐíµÚÒ»¸öÔÚʵÑéÊÒÖвâ³öÒýÁ¦³£Á¿£¬Ê¹µÃÍòÓÐÒýÁ¦¶¨ÂÉÓÐÁËʹÓüÛÖµ£®£¨1£©½öÓÃÒýÁ¦³£Á¿G¡¢µØÇò°ë¾¶RºÍÖØÁ¦¼ÓËÙ¶Èg£¬ÇóµØÇòµÄÖÊÁ¿M£®
£¨2£©ÒÑÖªG=6.7×l0-11N?m2/kg2¡¢R=6.4×l06m¡¢g=9.8m/s2¡¢¦Ð=3.1£¬¼ÆËãµØÇòµÄÃܶȦÑ
£¨3£©ÒÑÖªR=6.4×106m¡¢g=10m/s2¡¢¦Ð=3.1£¬¼ÆËãÈÆµØÇò×öÔ²ÖÜÔ˶¯µÄÈËÔìÎÀÐǵÄ×îСÖÜÆÚT£®
¡¾´ð°¸¡¿·ÖÎö£º£¨1£©¸ù¾ÝµØÇò±íÃæµÄÎïÌåÊܵ½µÄÖØÁ¦µÈÓÚÍòÓÐÒýÁ¦
=mg£¬¿É½âµÃµØÇòµÄÖÊÁ¿M£®
£¨2£©¸ù¾Ý¹«Ê½
ºÍV=
Çó½âÃܶȣ®
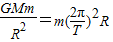
£¨3£©¸ù¾ÝÍòÓÐÒýÁ¦ÌṩÏòÐÄÁ¦
=m£¨
£©2£¨R+h£©£¬µÃT=2¦Ð
£¬°ÑµØÇòµÄÖÊÁ¿M´úÈ룬¼´¿É½âµÃ¸ÃÎÀÐǵÄÖÜÆÚ£®
½â´ð£º½â£º£¨1£©µØÇòµØÃæÉϵÄÎïÌåmËùÊÜÍòÓÐÒýÁ¦½üËÆµÈÓÚÖØÁ¦
=mg ¢Ù
½âµÃµØÇòµÄÖÊÁ¿£ºM=
¢Ú
£¨2£©µØÇòµÄÃܶȣº
¢Û
´úÈëÊý¾Ý½âµÃ£º¦Ñ=5.5×103kg/m3 ¢Ü
£¨3£©ÎÀÐÇÈÆµØÇò×öÔ²ÖÜÔ˶¯£º¹ìµÀ°ë¾¶ÎªRʱ¶ÔÓ¦µÄÖÜÆÚ×îС£»ÓÉÒýÁ¦ÌṩÏòÐÄÁ¦µÃ
¢Ý
×îСÖÜÆÚ£ºT=2
¢Þ
´úÈëÊý¾ÝµÃT=5.0×103s=82.7min£®
´ð£º£¨1£©µØÇòµÄÖÊÁ¿MΪ
£®
£¨2£©µØÇòµÄÃܶȦÑΪ5.5×103kg/m3 £®
£¨3£©ÒÑÈÆµØÇò×öÔ²ÖÜÔ˶¯µÄÈËÔìÎÀÐǵÄ×îСÖÜÆÚTΪ82.7min£®
µãÆÀ£º±¾ÌâÒªÕÆÎÕÁ½¸ö¹ØÏµ£ºÐÇÇò±íÃæµÄÎïÌåÊܵ½µÄÖØÁ¦µÈÓÚÍòÓÐÒýÁ¦£»»·ÈÆÌìÌåÈÆÖÐÐÄÌìÌå×öÔ²ÖÜÔ˶¯ËùÐèÒªµÄÏòÐÄÁ¦ÓÉÍòÓÐÒýÁ¦Ìṩ£®ÕâÁ½¸ö¹ØÏµ¿ÉÒÔ½â¾öÌìÌåÔ˶¯µÄÒ»ÇÐÎÊÌ⣮
£¨2£©¸ù¾Ý¹«Ê½
£¨3£©¸ù¾ÝÍòÓÐÒýÁ¦ÌṩÏòÐÄÁ¦
½â´ð£º½â£º£¨1£©µØÇòµØÃæÉϵÄÎïÌåmËùÊÜÍòÓÐÒýÁ¦½üËÆµÈÓÚÖØÁ¦
½âµÃµØÇòµÄÖÊÁ¿£ºM=
£¨2£©µØÇòµÄÃܶȣº
´úÈëÊý¾Ý½âµÃ£º¦Ñ=5.5×103kg/m3 ¢Ü
£¨3£©ÎÀÐÇÈÆµØÇò×öÔ²ÖÜÔ˶¯£º¹ìµÀ°ë¾¶ÎªRʱ¶ÔÓ¦µÄÖÜÆÚ×îС£»ÓÉÒýÁ¦ÌṩÏòÐÄÁ¦µÃ
×îСÖÜÆÚ£ºT=2
´úÈëÊý¾ÝµÃT=5.0×103s=82.7min£®
´ð£º£¨1£©µØÇòµÄÖÊÁ¿MΪ
£¨2£©µØÇòµÄÃܶȦÑΪ5.5×103kg/m3 £®
£¨3£©ÒÑÈÆµØÇò×öÔ²ÖÜÔ˶¯µÄÈËÔìÎÀÐǵÄ×îСÖÜÆÚTΪ82.7min£®
µãÆÀ£º±¾ÌâÒªÕÆÎÕÁ½¸ö¹ØÏµ£ºÐÇÇò±íÃæµÄÎïÌåÊܵ½µÄÖØÁ¦µÈÓÚÍòÓÐÒýÁ¦£»»·ÈÆÌìÌåÈÆÖÐÐÄÌìÌå×öÔ²ÖÜÔ˶¯ËùÐèÒªµÄÏòÐÄÁ¦ÓÉÍòÓÐÒýÁ¦Ìṩ£®ÕâÁ½¸ö¹ØÏµ¿ÉÒÔ½â¾öÌìÌåÔ˶¯µÄÒ»ÇÐÎÊÌ⣮
Á·Ï°²áϵÁдð°¸
Ïà¹ØÌâÄ¿