题目内容
质量为5t的汽车.以额定功率行驶,速度由10m/s增加到最大速度20m/s,行程为3km,用时3min,设汽车行驶过程中所受阻力不变,求汽车发动机的额定功率是多少?
答案:25kW
解析:
解析:
|
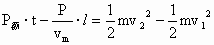
根据动能定理
|
练习册系列答案
相关题目
静止在水平路面上的质量为5t的汽车,以恒定的加速度a=2m/s2起动,所受阻力为1.0×103N,则汽车起动后第1秒末牵引力的瞬时功率是( )
| A、2kw | B、11kw | C、20kw | D、22kw |
静止在水平路面上的质量为5t的汽车,以恒定的加速度a = 2
起动,所受阻力为1.0×103
,则汽车起动后第1秒末牵引力的瞬时功率是 ( )
| A.2kW | B.11 kW | C.20 kW | D.22 kW |