ÌâÄ¿ÄÚÈÝ
2008Äê9ÔÂ25ÈÕÎÒ¹ú³É¹¦·¢ÉäÁË¡°ÉñÖÛÆßºÅ¡±ÔØÈË·É´¬£¬Ëæºóº½ÌìÔ±Ô²ÂúÍê³ÉÁËÌ«¿Õ³ö²ÕÈÎÎñ²¢ÊÍ·ÅÁË¡°°é·É¡±Ð¡ÎÀÐÇ£®ÈôСÎÀÐǺͷɴ¬ÔÚͬһԲ¹ìµÀÉÏ£¬Ïà¸ôÒ»¶Î¾àÀëһǰһºóÑØÍ¬Ò»·½ÏòÈÆÐУ®ÏÂÁÐ˵·¨ÕýÈ·µÄÊÇ£¨ £©A£®ÓÉ·É´¬µÄ¹ìµÀ°ë¾¶¡¢ÖÜÆÚºÍÒýÁ¦³£Á¿¿ÉÒÔËã³ö·É´¬ÖÊÁ¿
B£®º½ÌìԱ̤ÔÚ·É´¬±íÃæ½øÐÐÌ«¿ÕÂþ²½Ê±£¬¶Ô±íÃæµÄѹÁ¦µÈÓÚº½ÌìÔ±µÄÖØÁ¦
C£®Ð¡ÎÀÐǺͷɴ¬µÄ¼ÓËٶȲ»Ïàͬ
D£®·É´¬Ö»ÐèÏòºóÅç³öÆøÌ壬¾Í¿ÉÒÔÔÚ¶Ìʱ¼äÄÚºÍСÎÀÐǶԽÓ
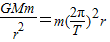
¡¾´ð°¸¡¿·ÖÎö£ºA¡¢¸ù¾ÝÍòÓÐÒýÁ¦ÌṩÏòÐÄÁ¦
£¬·É´¬µÄÖÊÁ¿±»Ô¼È¥£¬ÎÞ·¨Çó³öÆäÖÊÁ¿£®
B¡¢Í¨¹ýСÎÀÐǺͷɴ¬ÔÚͬһ¹ìµÀÉÏ£¬¸ù¾ÝÍòÓÐÒýÁ¦ÌṩÏòÐÄÁ¦·ÖÎö£®
C¡¢·É´¬ÈƵØÇò×öÔÈËÙÔ²ÖÜÔ˶¯Ê±£¬ÓԱ´¦ÓÚÍêÈ«Ê§ÖØ×´Ì¬£®
D¡¢·É´¬Ò»µ©¼ÓËÙ£¬ËùÐèµÄÏòÐÄÁ¦±ä´ó£¬ÍòÓÐÒýÁ¦²»¹»Ìṩ£¬»á×öÀëÐÄÔ˶¯£®
½â´ð£º½â£ºA¡¢¸ù¾ÝÍòÓÐÒýÁ¦ÌṩÏòÐÄÁ¦
£¬·É´¬µÄÖÊÁ¿±»Ô¼È¥£¬ÎÞ·¨Çó³öÆäÖÊÁ¿£®¹ÊA´íÎó£®
B¡¢·É´¬ÈƵØÇò×öÔÈËÙÔ²ÖÜÔ˶¯Ê±£¬ÓԱ´¦ÓÚÍêÈ«Ê§ÖØ×´Ì¬£®º½ÌìԱ̤ÔÚ·É´¬±íÃæ½øÐÐÌ«¿ÕÂþ²½Ê±£¬¶Ô±íÃæµÄѹÁ¦µÈÓÚ0£®¹ÊB´íÎó£»
C¡¢¸ù¾ÝÍòÓÐÒýÁ¦ÌṩÏòÐÄÁ¦
£®¸ù¾ÝÍòÓÐÒýÁ¦ÌṩÏòÐÄÁ¦Ð¡ÎÀÐǺͷɴ¬µÄ¹ìµÀ°ë¾¶Ïàͬ£¬ÈÆÍ¬Ò»ÖÐÐÄÌìÌåÔ˶¯£¬ËùÒÔ¼ÓËÙ¶È´óСÏàµÈ£®¹ÊCÕýÈ·£®
D¡¢·É´¬ÏòºóÅç³öÆøÌ壬Ëٶȱä´ó£¬ËùÐèµÄÏòÐÄÁ¦±ä´ó£¬ÍòÓÐÒýÁ¦²»¹»Ìṩ£¬×öÀëÐÄÔ˶¯£¬À뿪ÔÀ´µÄ¹ìµÀ£¬²»»áÓëСÎÀÐǶԽӣ®¹ÊD´íÎó£®
¹ÊÑ¡£ºC
µãÆÀ£ºÊìÁ·ÕÆÎÕÍòÓÐÒýÁ¦ÌṩÎÀÐÇÔ²ÖÜÔ˶¯µÄÏòÐÄÁ¦Êǽâ¾ö±¾ÌâµÄ¹Ø¼ü
=ma£®ÒÔ¼°ÖªµÀ·É´¬ÈƵØÇò×öÔÈËÙÔ²ÖÜÔ˶¯Ê±£¬ÓԱ´¦ÓÚÍêÈ«Ê§ÖØ×´Ì¬£®
B¡¢Í¨¹ýСÎÀÐǺͷɴ¬ÔÚͬһ¹ìµÀÉÏ£¬¸ù¾ÝÍòÓÐÒýÁ¦ÌṩÏòÐÄÁ¦·ÖÎö£®
C¡¢·É´¬ÈƵØÇò×öÔÈËÙÔ²ÖÜÔ˶¯Ê±£¬ÓԱ´¦ÓÚÍêÈ«Ê§ÖØ×´Ì¬£®
D¡¢·É´¬Ò»µ©¼ÓËÙ£¬ËùÐèµÄÏòÐÄÁ¦±ä´ó£¬ÍòÓÐÒýÁ¦²»¹»Ìṩ£¬»á×öÀëÐÄÔ˶¯£®
½â´ð£º½â£ºA¡¢¸ù¾ÝÍòÓÐÒýÁ¦ÌṩÏòÐÄÁ¦
B¡¢·É´¬ÈƵØÇò×öÔÈËÙÔ²ÖÜÔ˶¯Ê±£¬ÓԱ´¦ÓÚÍêÈ«Ê§ÖØ×´Ì¬£®º½ÌìԱ̤ÔÚ·É´¬±íÃæ½øÐÐÌ«¿ÕÂþ²½Ê±£¬¶Ô±íÃæµÄѹÁ¦µÈÓÚ0£®¹ÊB´íÎó£»
C¡¢¸ù¾ÝÍòÓÐÒýÁ¦ÌṩÏòÐÄÁ¦
D¡¢·É´¬ÏòºóÅç³öÆøÌ壬Ëٶȱä´ó£¬ËùÐèµÄÏòÐÄÁ¦±ä´ó£¬ÍòÓÐÒýÁ¦²»¹»Ìṩ£¬×öÀëÐÄÔ˶¯£¬À뿪ÔÀ´µÄ¹ìµÀ£¬²»»áÓëСÎÀÐǶԽӣ®¹ÊD´íÎó£®
¹ÊÑ¡£ºC
µãÆÀ£ºÊìÁ·ÕÆÎÕÍòÓÐÒýÁ¦ÌṩÎÀÐÇÔ²ÖÜÔ˶¯µÄÏòÐÄÁ¦Êǽâ¾ö±¾ÌâµÄ¹Ø¼ü
Á·Ï°²áϵÁдð°¸
Ïà¹ØÌâÄ¿