题目内容
天文观测到某行星有一颗以半径R、周期T环绕该行星做圆周运动的卫星,已知卫星质量为m.求:(1)该行星的质量M是多大?
(2)如果该行星的半径是卫星运动轨道半径的1/10,那么行星表面处的重力加速度是多大?
【答案】分析:根据万有引力定律等于向心力公式,即可求出行星的质量;行星表面处的重力加速度由万有引力提供即可.
解答:解:(1)根据万有引力定律和向心力公式:
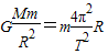
(1)
解得
(2)在行星表面,万有引力等于重力:
(2)
联立(1)(2)得:
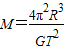
答:(1)该行星的质量
;(2)行星表面处的重力加速度
.
点评:该题考查万有引力定律的一般应用,直接使用万有引力提供向心力的公式即可,它们非常简单.
解答:解:(1)根据万有引力定律和向心力公式:
解得
(2)在行星表面,万有引力等于重力:
联立(1)(2)得:
答:(1)该行星的质量
点评:该题考查万有引力定律的一般应用,直接使用万有引力提供向心力的公式即可,它们非常简单.
练习册系列答案
相关题目