ÌâÄ¿ÄÚÈÝ
£¨1£©Ä³Í¬Ñ§Óôòµã¼ÆÊ±Æ÷²âÁ¿×öÔȼÓËÙÖ±ÏßÔ˶¯µÄÎïÌåµÄ¼ÓËÙ¶È£¬µçԴƵÂÊf=50HzÔÚÏß´øÉÏ´ò³öµÄµãÖУ¬Ñ¡³öÁãµã£¬Ã¿¸ô4¸öµãÈ¡1¸ö¼ÆÊýµã£¬Òò±£´æ²»µ±£¬Ö½´ø±»ÎÛȾ£¬ÈçͼËùʾ£¬A¡¢B¡¢C¡¢DÊÇÒÀ´ÎÅÅÁеÄ4¸ö¼ÆÊýµã£¬½öÄܶÁ³öÆäÖÐ3¸ö¼ÆÊýµãµ½ÁãµãµÄ¾àÀ룺SA=16.6mm SB=126.5mm SD=624.5mmÈôÎÞ·¨ÔÙ×öʵÑ飬¿ÉÓÉÒÔÉÏÐÅÏ¢ÍÆÖª£º
¢ÙÏàÐÅÁ½¼ÆÊýµãµÄʱ¼ä¼ä¸ôΪ______S
¢Ú´òCµãʱÎïÌåµÄËÙ¶È´óСΪ______m/s£¨È¡2λÓÐЧÊý×Ö£©
¢ÛÎïÌåµÄ¼ÓËÙ¶È´óСΪ______£¨ÓÃSA¡¢SB¡¢SC¡¢SDºÍf±íʾ£©
¡¾´ð°¸¡¿·ÖÎö£ºÖ½´øÊµÑéÖУ¬ÈôÖ½´øÔȱäËÙÖ±ÏßÔ˶¯£¬²âµÃÖ½´øÉϵĵã¼ä¾à£¬ÀûÓÃÔȱäËÙÖ±ÏßÔ˶¯µÄÍÆÂÛ£¬¿É¼ÆËã³ö´ò³öijµãʱֽ´øÔ˶¯µÄ˲ʱËٶȺͼÓËÙ¶È£®
½â´ð£º½âÎö£º£¨1£©¢Ù´òµã¼ÆÊ±Æ÷´ò³öµÄÖ½´øÃ¿¸ô4¸öµãÑ¡ÔñÒ»¸ö¼ÆÊýµã£¬ÔòÏàÁÚÁ½¼ÆÊýµãµÄʱ¼ä¼ä¸ôΪT=0.02s£®
¢Ú¸ù¾Ý¼äµÄƽ¾ùËٶȵÈÓÚµãµÄËٶȵÃvc=
=
=2.5m/s£®
¢ÛÔȼÓËÙÔ˶¯µÄÎ»ÒÆÌØÕ÷ÊÇÏàÁÚµÄÏàµÈʱ¼ä¼ä¸ôÄÚµÄÎ»ÒÆÒÔaT2¾ùÔÈÔö´ó£¬¼´¡÷x=aT2£¬ËùÒÔÓУº
xBC=xAB+aT2£¬xCD=xBC+aT2=xAB+2aT2£¬xBD=2xAB+3aT2£¬
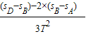
ËùÒÔa=
=
´ð°¸£º£¨1£©¢Ù0.1 ¢Ú2.5 ¢Û
µãÆÀ£ºÒª×¢ÒⵥλµÄ»»ËãºÍÓÐЧÊý×ֵı£Áô£®
Äܹ»ÖªµÀÏàÁڵļÆÊýµãÖ®¼äµÄʱ¼ä¼ä¸ô£®
½â´ð£º½âÎö£º£¨1£©¢Ù´òµã¼ÆÊ±Æ÷´ò³öµÄÖ½´øÃ¿¸ô4¸öµãÑ¡ÔñÒ»¸ö¼ÆÊýµã£¬ÔòÏàÁÚÁ½¼ÆÊýµãµÄʱ¼ä¼ä¸ôΪT=0.02s£®
¢Ú¸ù¾Ý¼äµÄƽ¾ùËٶȵÈÓÚµãµÄËٶȵÃvc=
¢ÛÔȼÓËÙÔ˶¯µÄÎ»ÒÆÌØÕ÷ÊÇÏàÁÚµÄÏàµÈʱ¼ä¼ä¸ôÄÚµÄÎ»ÒÆÒÔaT2¾ùÔÈÔö´ó£¬¼´¡÷x=aT2£¬ËùÒÔÓУº
xBC=xAB+aT2£¬xCD=xBC+aT2=xAB+2aT2£¬xBD=2xAB+3aT2£¬
ËùÒÔa=
´ð°¸£º£¨1£©¢Ù0.1 ¢Ú2.5 ¢Û
µãÆÀ£ºÒª×¢ÒⵥλµÄ»»ËãºÍÓÐЧÊý×ֵı£Áô£®
Äܹ»ÖªµÀÏàÁڵļÆÊýµãÖ®¼äµÄʱ¼ä¼ä¸ô£®
Á·Ï°²áϵÁдð°¸
Ïà¹ØÌâÄ¿