ÌâÄ¿ÄÚÈÝ
ÈçͼËùʾ£¬Ô³¤·Ö±ðΪL1ºÍL2¡¢¾¢¶ÈϵÊý·Ö±ðΪk1ºÍk2µÄÇáÖʵ¯»ÉÊúÖ±µØÐü¹ÒÔÚÌ컨°åÏ£®Á½µ¯»ÉÖ®¼äÓÐÒ»ÖÊÁ¿Îªm1µÄÎïÌ壬×î϶˹Ò×ÅÖÊÁ¿Îªm2µÄÁíÒ»ÎïÌ壮Õû¸ö×°Öô¦ÓÚ¾²Ö¹×´Ì¬£¬ÕâʱÁ½¸öµ¯»ÉµÄ×ܳ¤¶ÈΪ______£®ÓÃÒ»¸öÖÊÁ¿ÎªMµÄƽ°å°ÑÏÂÃæµÄÎïÌåÊúÖ±µØ»ºÂýµØÏòÉÏÍÐÆð£¬Ö±µ½Á½¸öµ¯»ÉµÄ×ܳ¤¶ÈµÈÓÚÁ½µ¯»ÉµÄÔ³¤Ö®ºÍ£¬Õâʱƽ°åÊܵ½ÏÂÃæÎïÌåµÄѹÁ¦´óСµÈÓÚ______£®
¡¾´ð°¸¡¿·ÖÎö£º£¨1£©·Ö±ð¶ÔÁ½¸öµ¯»ÉÔËÓúú¿Ë¶¨ÂÉÁÐʽÇó½âÉ쳤Á¿£¬È»ºóÇóºÍ£»
£¨2£©µ±Á½¸öµ¯»ÉµÄ×ܳ¤¶ÈµÈÓÚÁ½µ¯»ÉÔ³¤Ö®ºÍʱ£¬Éϱߵ¯»ÉµÄÉ쳤Á¿Óëϱߵ¯»ÉµÄѹËõÁ¿ÏàµÈ£®¶Ôm1ÊÜÁ¦·ÖÎö£¬ÓÐm1g=k1x+k2x£¬µÃ³öÉ쳤Á¿ºÍѹËõÁ¿x£®¶ÔÎïÌåm2ÊÜÁ¦·ÖÎöÓУºFN=m2g+k2x£¬ÔÙ½áºÏÅ£¶ÙµÚÈý¶¨ÂÉ£¬Çó³öÎïÌå¶Ôƽ°åµÄѹÁ¦FN¡ä£®
½â´ð£º½â£º£¨1£©ÉÏÃæµ¯»ÉÊÜÀÁ¦µÈÓÚÁ½¸öÎïÌåµÄÖØÁ¦Ö®ºÍ£¬ÓУºm1g+m2g=£¨k1+k2£©x1£»
ÏÂÃæµ¯»ÉÊܵ½µÄµ¯Á¦µÈÓÚÏ·½ÎïÌåµÄÖØÁ¦£¬ÓУºm2g=k2x2£»
¹Ê
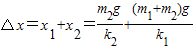
£»
Á½¸öµ¯»ÉµÄ×ܳ¤Îª£ºL=
£»
£¨2£©µ±Á½¸öµ¯»ÉµÄ×ܳ¤¶ÈµÈÓÚÁ½µ¯»ÉÔ³¤Ö®ºÍʱ£¬ÏÂÃæµ¯»ÉµÄѹËõÁ¿Ó¦µÈÓÚÉÏÃæµ¯»ÉµÄÉ쳤Á¿£¬ÉèΪx£¬
¶Ôm1ÊÜÁ¦·ÖÎöµÃ£ºm1g=k1x+k2x¡¢Ù
¶Ôƽ°åºÍm1ÕûÌåÊÜÁ¦·ÖÎöµÃ£º
FN=m2g+k2x¡¢Ú
¸ù¾ÝÅ£¶ÙµÚÈý¶¨ÂÉ£¬ÓÐ
FN¡ä=FN¡¢Û
½âµÃ
FN¡ä=
£»
¹Ê´ð°¸Îª£º
£¬
£®
µãÆÀ£ºÇó³ö±¾ÌâµÄ¹Ø¼üÖªµÀµ±Á½¸öµ¯»ÉµÄ×ܳ¤¶ÈµÈÓÚÁ½µ¯»ÉÔ³¤Ö®ºÍʱ£¬Éϱߵ¯»ÉµÄÉ쳤Á¿Óëϱߵ¯»ÉµÄѹËõÁ¿ÏàµÈ£®ÒÔ¼°ÀíÇåδÍÐm2ʱºÍÍÐÆðm2ʱÁ½¸ùµ¯»ÉµÄÐαäÁ¿£¬È·¶¨m2ÉÏÉýµÄ¸ß¶È£®
£¨2£©µ±Á½¸öµ¯»ÉµÄ×ܳ¤¶ÈµÈÓÚÁ½µ¯»ÉÔ³¤Ö®ºÍʱ£¬Éϱߵ¯»ÉµÄÉ쳤Á¿Óëϱߵ¯»ÉµÄѹËõÁ¿ÏàµÈ£®¶Ôm1ÊÜÁ¦·ÖÎö£¬ÓÐm1g=k1x+k2x£¬µÃ³öÉ쳤Á¿ºÍѹËõÁ¿x£®¶ÔÎïÌåm2ÊÜÁ¦·ÖÎöÓУºFN=m2g+k2x£¬ÔÙ½áºÏÅ£¶ÙµÚÈý¶¨ÂÉ£¬Çó³öÎïÌå¶Ôƽ°åµÄѹÁ¦FN¡ä£®
½â´ð£º½â£º£¨1£©ÉÏÃæµ¯»ÉÊÜÀÁ¦µÈÓÚÁ½¸öÎïÌåµÄÖØÁ¦Ö®ºÍ£¬ÓУºm1g+m2g=£¨k1+k2£©x1£»
ÏÂÃæµ¯»ÉÊܵ½µÄµ¯Á¦µÈÓÚÏ·½ÎïÌåµÄÖØÁ¦£¬ÓУºm2g=k2x2£»
¹Ê
Á½¸öµ¯»ÉµÄ×ܳ¤Îª£ºL=
£¨2£©µ±Á½¸öµ¯»ÉµÄ×ܳ¤¶ÈµÈÓÚÁ½µ¯»ÉÔ³¤Ö®ºÍʱ£¬ÏÂÃæµ¯»ÉµÄѹËõÁ¿Ó¦µÈÓÚÉÏÃæµ¯»ÉµÄÉ쳤Á¿£¬ÉèΪx£¬
¶Ôm1ÊÜÁ¦·ÖÎöµÃ£ºm1g=k1x+k2x¡¢Ù
¶Ôƽ°åºÍm1ÕûÌåÊÜÁ¦·ÖÎöµÃ£º
FN=m2g+k2x¡¢Ú
¸ù¾ÝÅ£¶ÙµÚÈý¶¨ÂÉ£¬ÓÐ
FN¡ä=FN¡¢Û
½âµÃ
FN¡ä=
¹Ê´ð°¸Îª£º
µãÆÀ£ºÇó³ö±¾ÌâµÄ¹Ø¼üÖªµÀµ±Á½¸öµ¯»ÉµÄ×ܳ¤¶ÈµÈÓÚÁ½µ¯»ÉÔ³¤Ö®ºÍʱ£¬Éϱߵ¯»ÉµÄÉ쳤Á¿Óëϱߵ¯»ÉµÄѹËõÁ¿ÏàµÈ£®ÒÔ¼°ÀíÇåδÍÐm2ʱºÍÍÐÆðm2ʱÁ½¸ùµ¯»ÉµÄÐαäÁ¿£¬È·¶¨m2ÉÏÉýµÄ¸ß¶È£®
Á·Ï°²áϵÁдð°¸
Ïà¹ØÌâÄ¿