题目内容

一小汽车从静止开始以3 m/s2的加速度行驶,恰有一自行车以6 m/s的速度从汽车边匀速驶过.求:

(1)在汽车追上自行车之前,经过多长时间两者相距最远?

(2)在汽车追上自行车之前,汽车距离自行车的最大距离是多少?

(3)汽车什么时候能追上自行车?

(4)追上自行车时,汽车的速度是多少?

答案:
解析:

  答案:    每小题2分

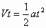
  解析:(1)当两者速度相等时相距最远,有 

  (2)汽车距离自行车的最大距离:

  (3)汽车追上自行车: 

  (4)追上自行车时,汽车的速度:


练习册系列答案
相关题目

违法和不良信息举报电话:027-86699610 举报邮箱:58377363@163.com

精英家教网