题目内容
某待测电阻RX的阻值在80Ω~100Ω之间,现要测量其电阻的阻值,实验室提供如下器材:电表A1(量程30mA、内阻r1=10Ω)
电表A2(量程150mA、内阻r2约30Ω)
电表A3(量程30mA、内阻r3约0、2Ω)
定值电阻R=20Ω
滑动变阻器R,最大阻值约为10Ω
电源E(电动势4V)
开关S、导线若干
1按照如图所示电路进行实验,在上述提供的器材中,为了操作方便,则A应选用
______电表.B应选用______电表(填字母代号).
②滑动变阻器R的滑片由a到b滑动,A示数______,B示数______.(填增大、减小或不变)
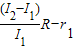
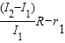
③如果测出A表的示数为I1,B表的示数为I2,用已知量和测量的量表示RX的表达式RX=______.
【答案】分析:根据通过电流表电流的大小选取电流表,滑片移动使得两电流表同时变化,利用并联电路的特点推导待测电阻的表达式.
解答:解:①因为B电流表测得是两个电阻的电流,故A用A1,B用A2;
②动变阻器R的滑片由a到b滑动,分压增大,AB示数都增大;
③定值电阻的电流为I2-I1,定值电阻与待测电阻、A1并联,故:(I2-I1)R=I1(RX+RA1),变形得:RX=
故答案为:①A1,A2②增大,增大③
点评:本题考查了电表的选用,要本着安全的原则,最好根据实物连接图画出原理图,便于分清各电表的测量值是哪个元件的.
解答:解:①因为B电流表测得是两个电阻的电流,故A用A1,B用A2;
②动变阻器R的滑片由a到b滑动,分压增大,AB示数都增大;
③定值电阻的电流为I2-I1,定值电阻与待测电阻、A1并联,故:(I2-I1)R=I1(RX+RA1),变形得:RX=
故答案为:①A1,A2②增大,增大③
点评:本题考查了电表的选用,要本着安全的原则,最好根据实物连接图画出原理图,便于分清各电表的测量值是哪个元件的.
练习册系列答案
相关题目