题目内容
(1)物体与桌面间的摩擦力可以忽略不计,原因是: ;
(2)实验时需要测量的物理量是弹簧秤示数F、圆周运动的周期T和 ;
(3)待测物体质量的表达式为 .
【答案】分析:(1)滑动摩擦力与压力成正比,物体与桌面间的摩擦力可以忽略不计的原因是物体与桌面间的压力几乎为零.
(2)实验时需要测量的物理量是弹簧秤示数F、圆周运动的半径R和周期T.
(3)弹簧秤的拉力提供物体的向心力,由牛顿第二定律研究待测物体质量的表达式.
解答:解:
(1)弹力是产生摩擦力的前提条件,没有摩擦力一定没有弹力.由题,物体与桌面间的摩擦力可以忽略不计,其原因是物体与接触面间几乎没有压力,摩擦力几乎为零.
(2)、(3)据题,物体在桌面上做匀速圆周运动,物体与桌面间的摩擦力忽略不计,由弹簧秤的拉力提供物体的向心力.根据牛顿第二定律得:

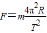
得到:m=
所以实验时需要测量的物理量是弹簧秤示数F、圆周运动的半径R和周期T.
故答案为:
(1)物体与接触面间几乎没有压力,摩擦力几乎为零.
(2)圆周运动的半径R;
(3)m=
点评:本题是实际问题的近似,基本原理是合力提供向心力,根据关系式确定需要测量的物理量.
(2)实验时需要测量的物理量是弹簧秤示数F、圆周运动的半径R和周期T.
(3)弹簧秤的拉力提供物体的向心力,由牛顿第二定律研究待测物体质量的表达式.
解答:解:
(1)弹力是产生摩擦力的前提条件,没有摩擦力一定没有弹力.由题,物体与桌面间的摩擦力可以忽略不计,其原因是物体与接触面间几乎没有压力,摩擦力几乎为零.
(2)、(3)据题,物体在桌面上做匀速圆周运动,物体与桌面间的摩擦力忽略不计,由弹簧秤的拉力提供物体的向心力.根据牛顿第二定律得:
得到:m=
所以实验时需要测量的物理量是弹簧秤示数F、圆周运动的半径R和周期T.
故答案为:
(1)物体与接触面间几乎没有压力,摩擦力几乎为零.
(2)圆周运动的半径R;
(3)m=
点评:本题是实际问题的近似,基本原理是合力提供向心力,根据关系式确定需要测量的物理量.
练习册系列答案
相关题目