ÌâÄ¿ÄÚÈÝ
2011Äê8Ô£¬ÎÒ¹úµÚ¶þ¿ÅÔÂÇò̽²âÎÀÐÇ¡°æÏ¶ð¶þºÅ¡±Êܿؾ«È·½øÈëÀ¸ñÀÊÈÕL2µãµÄ»·ÈƹìµÀ£¬ÈçʾÒâͼËùʾ£®ÉèÌ«ÑôÖÊÁ¿ÎªM£¬µØÇòÖÊÁ¿Îªm£¬À¸ñÀÊÈÕL2µãÓëµØÇòÖ®¼äµÄ¾àÀëΪr1£¬Ì«ÑôÓëµØÇòÖ®¼äµÄ¾àÀëΪr2£®ÔÚÀ¸ñÀÊÈÕL2µã£¬Ì«Ñô¶Ô¡°æÏ¶ð¶þºÅ¡±µÄÒýÁ¦ÓëµØÇò¶Ô¡°æÏ¶ð¶þºÅ¡±µÄÒýÁ¦Ö®±ÈΪ £®À¸ñÀÊÈÕL2µã¾àÀëµØÇòÔ¼150Íò¹«À±±¾©²â¿ØÖÐÐÄ·¢³öµÄÎÞÏßµçÖ¸ÁîÐèÒª¾¹ý s²ÅÄܹ»µ½´ïÀ¸ñÀÊÈÕL2µã£¨ÎÞÏßµçÐźÅÔÚÕæ¿ÕÖеĴ«²¥ËÙ¶ÈÓë¹âËÙÏàͬ£©£®
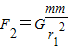
¡¾´ð°¸¡¿·ÖÎö£º¸ù¾ÝÍòÓÐÒýÁ¦¹«Ê½F=
Çó³öæÏ¶ð¶þºÅÊܵ½Ì«ÑôºÍµØÇòµÄÒýÁ¦Ö®±È£®¸ù¾Ýµç´Å²¨ÔÚÕæ¿ÕÖд«²¥µÄËÙ¶ÈÇó³öÔ˶¯µÄʱ¼ä£®
½â´ð£º½â£ºæÏ¶ð¶þºÅÊܵ½Ì«ÑôµÄÒýÁ¦´óС
£¬Êܵ½µÄµØÇòµÄÒýÁ¦
£¬Ôò
£®
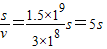
±±¾©²â¿ØÖÐÐÄ·¢³öµÄÎÞÏßµçÖ¸Áîµ½´ïÀ¸ñÀÊÈÕL2µãµÄʱ¼ät=
£®
¹Ê´ð°¸Îª£º
£¬5£®
µãÆÀ£º½â¾ö±¾ÌâµÄ¹Ø¼üÕÆÎÕÍòÓÐÒýÁ¦¶¨ÂɵĹ«Ê½F=
£®
½â´ð£º½â£ºæÏ¶ð¶þºÅÊܵ½Ì«ÑôµÄÒýÁ¦´óС
±±¾©²â¿ØÖÐÐÄ·¢³öµÄÎÞÏßµçÖ¸Áîµ½´ïÀ¸ñÀÊÈÕL2µãµÄʱ¼ät=
¹Ê´ð°¸Îª£º
µãÆÀ£º½â¾ö±¾ÌâµÄ¹Ø¼üÕÆÎÕÍòÓÐÒýÁ¦¶¨ÂɵĹ«Ê½F=
Á·Ï°²áϵÁдð°¸
Ïà¹ØÌâÄ¿