题目内容
2005年10月12日,我国成功地发射了“神舟”六号载人宇宙飞船,飞船进入轨道运行若干圈后成功实施变轨进入圆轨道运行.经过了近5天的运行后,飞船的返回舱顺利降落在预定地点.设“神舟”六号载人飞船在圆轨道上绕地球运行n圈所用的时间为t,若地球表面的重力加速度为g,地球半径为R,求飞船的圆轨道离地面的高度.
【答案】分析:研究“神舟”六号载人飞船在圆轨道上绕地球做匀速圆周运动,根据万有引力等于向心力列出方程,
根据地球表面忽略地球自转时万有引力等于重力列出方程进行求解即可.
解答:解:飞船在圆轨道上做匀速圆周运动,运动的周期T=
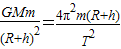
设飞船做圆周运动距地面的高度为h,质量为m的飞船受到地球的万有引力提供
飞船的向心力.即
而地球表面上质量为m′的物体受到的万有引力近似等于物体的重力,即:
解得:
答:飞船的圆轨道离地面的高度是
点评:本题要掌握万有引力的作用,天体运动中万有引力等于向心力,地球表面忽略地球自转时万有引力等于重力,利用两个公式即可解决此问题.只是计算和公式变化易出现错误.
根据地球表面忽略地球自转时万有引力等于重力列出方程进行求解即可.
解答:解:飞船在圆轨道上做匀速圆周运动,运动的周期T=
设飞船做圆周运动距地面的高度为h,质量为m的飞船受到地球的万有引力提供
飞船的向心力.即
而地球表面上质量为m′的物体受到的万有引力近似等于物体的重力,即:
解得:
答:飞船的圆轨道离地面的高度是
点评:本题要掌握万有引力的作用,天体运动中万有引力等于向心力,地球表面忽略地球自转时万有引力等于重力,利用两个公式即可解决此问题.只是计算和公式变化易出现错误.
练习册系列答案
相关题目