题目内容
如图甲所示,M和N是相互平行的金属板,OO1O2为中线,O1为板间区域的中点,P是足够大的荧光屏.带电粒子连续地从O点沿OO1方向射入两板间.(1)若在两板间加恒定电压U,M和N相距为d,板长为L(不考虑电场边缘效应),入射粒子是电量为e、质量为m的电子,求打在荧光屏P上偏离点O2最远的粒子的动能
(2)若在两板间加如图乙所示的交变电压u,M和N相距为d,板长为L(不考虑电场边缘效应).入射粒子是电量为e、质量为m的电子.某电子在t=
【答案】分析:(1)电子在两极板间受到与初速度垂直的电场力作用,由牛顿第二定律表示出加速度a,电子在金属板间的运动时间与初速度和板长有关,由初速度和板长表示出运动时间,偏离O2最远的粒子恰好经过金属板的边缘,此时在电场力方向上的位移是板间距离的一半,由运动学公式可表示出位移与运动时间的关系式,综上所述,结合动能定理可求出偏离点O2最远的粒子的动能.
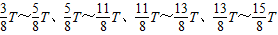
(2)由图先求出交变电压的周期以及电子通过金属板的时间,判断分析电子能通过金属板的过程,可知进入金属板的时刻为
,射出金属板的时刻为
.根据电子射入时刻和交变电压的变化规律,把时间分为4段,即为
,分别求出各时间段的位移,四段的位移之和应不大于
,列式可求出所加电压的范围.
解答:解:
(1)电子在两极板间的加速度:
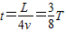
通过金属板的时间为:
对打在荧光屏P上偏离O2最远的粒子有:
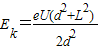
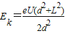
此时粒子的动能为:
以上各式联立解得:
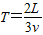
(2)交变电压的周期为:
,则有:
电子通过金属板的时间为:
电子在两极板间的加速度为:
设电子分别在
时间内沿垂直于初速度方向运动的位移依次为y1、y2、y3、y4则有:



要使电子能通过平行金属板,应满足条件:

以上各式联立得:
答:(1)打在荧光屏P上偏离点O2最远的粒子的动能为
(2)要使该电子能通过平行金属板,U应满足
点评:该题首先考察了电场力做功与带点粒子动能的变化之间的关系,在没有其他力做功的情况下,电场力所做的功就等于带电粒子动能的变化.该题还对带电粒子在交变电压所形成的电场中运动规律进行了考察,带电粒子在交变电场中仍然遵循牛顿运动定律、运动的合成与分解、动量定理、动能定理等力学规律.此类问题研究的方法与质点动力学相同.在处理此类问题时要把握初始条件,正确分析交变电压作用下的带电粒子的受力和运动情况,根据运动和力的关系,构建物理模型,选用合适的规律解题.
(2)由图先求出交变电压的周期以及电子通过金属板的时间,判断分析电子能通过金属板的过程,可知进入金属板的时刻为
解答:解:
(1)电子在两极板间的加速度:
通过金属板的时间为:
对打在荧光屏P上偏离O2最远的粒子有:
此时粒子的动能为:
以上各式联立解得:
(2)交变电压的周期为:
电子通过金属板的时间为:
电子在两极板间的加速度为:
设电子分别在
要使电子能通过平行金属板,应满足条件:
以上各式联立得:
答:(1)打在荧光屏P上偏离点O2最远的粒子的动能为
(2)要使该电子能通过平行金属板,U应满足
点评:该题首先考察了电场力做功与带点粒子动能的变化之间的关系,在没有其他力做功的情况下,电场力所做的功就等于带电粒子动能的变化.该题还对带电粒子在交变电压所形成的电场中运动规律进行了考察,带电粒子在交变电场中仍然遵循牛顿运动定律、运动的合成与分解、动量定理、动能定理等力学规律.此类问题研究的方法与质点动力学相同.在处理此类问题时要把握初始条件,正确分析交变电压作用下的带电粒子的受力和运动情况,根据运动和力的关系,构建物理模型,选用合适的规律解题.
练习册系列答案
相关题目