题目内容
如图所示,在竖直平面内有一半圆形轨道,圆心为O.一小球(可视为质点)从与圆心等高的圆形轨道上的A点以速度v水平向右抛出,落于圆轨道上的C点.已知OC的连线与OA的夹角为θ,重力加速度为g,则小球从A运动到C的时间为( )A.
B.
C.
D.
【答案】分析:平抛运动在水平方向上做匀速直线运动,在竖直方向上做自由落体运动.小球落到C点,根据几何关系确定小球竖直方向上的位移和竖直方向上的位移的比值,根据位移关系求出运动的时间.
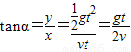
解答:解:由几何关系可知,AC水平方向的夹角为α=
,根据抛体运动的规律,
知
则
.故A正确,B、C、D错误.
故选A.
点评:解决本题的关键掌握平抛运动的规律,知道平抛运动在水平方向上做匀速直线运动,在竖直方向上做自由落体运动.
解答:解:由几何关系可知,AC水平方向的夹角为α=
知
则
故选A.
点评:解决本题的关键掌握平抛运动的规律,知道平抛运动在水平方向上做匀速直线运动,在竖直方向上做自由落体运动.
练习册系列答案
相关题目