ÌâÄ¿ÄÚÈÝ

ijͬѧÀûÓÃÈçͼ¼×µÄʵÑé×°ÖÃ̽¾¿²âÁ¿ÖØÁ¦¼ÓËÙ¶È´óС¡£

£¨1£©¸Ãͬѧ¿ªÊ¼ÊµÑéʱÇéÐÎÈçͼ¼×Ëùʾ£¬½ÓͨµçÔ´ÊÍ·ÅÖ½´ø¡£ÇëÖ¸³ö¸ÃͬѧÔÚʵÑé²Ù×÷ÖдæÔÚµÄÁ½´¦Ã÷ÏÔ´íÎó»ò²»µ±µÄµØ·½£º

¢Ù                                                 £»

¢Ú                                                                   ¡£

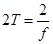
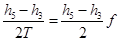
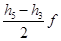
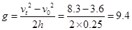
£¨2£©¸Ãͬѧ¾­Ð޸ĴíÎó²¢ÕýÈ·²Ù×÷ºóµÃµ½ÈçͼÒÒËùʾµÄÖ½´ø£¬È¡Á¬ÐøÁù¸öµãA¡¢B¡¢C¡¢D¡¢E¡¢FΪ¼ÆÊýµã£¬²âµÃAµãµ½B¡¢C¡¢D¡¢E¡¢FµÄ¾àÀë·Ö±ðΪh1¡¢h2¡¢h3¡¢h4¡¢h5¡£Èô´òµãµÄƵÂÊΪf£¬Ôò´òEµãÊ±ÖØÎïµÄËٶȱí´ïʽVE=               £»¸ÃͬѧÏÈ·Ö±ð¼ÆËã³ö¸÷¼ÆÊýµãµÄËÙ¶ÈÖµ£¬²¢ÊÔ»­³öËٶȵĶþ´Î·½(V2)Óë¶ÔÓ¦ÖØÎïÏÂÂäµÄ¾àÀ루h£©µÄ¹ØÏµÈçͼ±ûËùʾ£¬ÔòÖØÁ¦¼ÓËÙ¶Èg=                m/s2¡£

 

¡¾´ð°¸¡¿

£¨1£©1´òµã¼ÆÊ±Æ÷½ÓÁËÖ±Á÷µç2ÖØÎïÀë´òµã¼ÆÊ±Æ÷¹ýÔ¶  £¨2£©£¬9.4

¡¾½âÎö¡¿

ÊÔÌâ·ÖÎö£º£¨1£©1´òµã¼ÆÊ±Æ÷½Ó½»Á÷µç£¬Ô­ÀíÊǽ»Á÷µç·½ÏòµÄ¸Ä±äʹµÃÕñÕëÉÏÏÂÕñ¶¯¡£2ÖØÎïÀë´òµã¼ÆÊ±Æ÷Ô½Ô¶£¬Ö½´øÉÏ´ò³öµÄµãÔ½ÉÙ£¬Ô˶¯¹ý³ÌÔ½¶Ì£¬ÄÇô¶ÔÔ˶¯µÄÊý¾Ý·ÖÎöÓÐÓ°Ïì¡££¨2£©×ÔÓÉÂäÌåΪÔȱäËÙÖ±ÏßÔ˶¯£¬Öмäʱ¿ÌµÄ˲ʱËٶȵÈÓÚÆ½¾ùËÙ¶È£¬ËùÒÔEµãµÄ˲ʱËٶȵÈÓÚDFµÄƽ¾ùËÙ¶È£¬DFÎ»ÒÆÎª£¬Ê±¼äΪ£¬ËùÒÔËÙ¶ÈΪ£¬ËٶȵĶþ´Î·½(V2)Óë¶ÔÓ¦ÖØÎïÏÂÂäµÄ¾àÀ루h£©µÄ¹ØÏµÍ¼£¬ÎÒÃǸù¾Ý£¬½áºÏͼÏñ

¿¼µã£º´òµã¼ÆÊ±Æ÷µÄʹÓ㬲â×ÔÓÉÂäÌåÔ˶¯¼ÓËÙ¶È

 

Á·Ï°²áϵÁдð°¸
Ïà¹ØÌâÄ¿
£¨1£©Èçͼ1ÓÃÂÝÐý²â΢Æ÷²â¶¨Ä³Ò»½ðÊô˿ֱ¾¶£¬²âµÃµÄÖ±¾¶Îª
 
mm£»ÓÃ20µÈ·Ö¿Ì¶ÈµÄÓα꿨³ß²âÒ»¹¤¼þµÄ³¤¶È£¬²âµÃµÄ³¤¶ÈΪ
 
cm£®
£¨2£©Ïñ´òµã¼ÆÊ±Æ÷Ò»Ñù£¬¹âµç¼ÆÊ±Æ÷Ò²ÊÇÒ»ÖÖÑо¿ÎïÌåÔ˶¯Çé¿öµÄ³£¼û¼ÆÊ±ÒÇÆ÷£¬Æä½á¹¹Èçͼ¼×Ëùʾ£¬a¡¢b·Ö±ðÊǹâµçÃŵļ¤¹â·¢ÉäºÍ½ÓÊÕ×°Ö㮵±ÓÐÎïÌå´Óa¡¢b¼äͨ¹ýʱ£¬¹âµç¼ÆÊ±Æ÷¾Í¿ÉÒÔÏÔʾÎïÌåµÄµ²¹âʱ¼ä£®ÏÖÀûÓÃͼÒÒËùʾװÖÃÉè¼ÆÒ»¸ö¡°ÑéÖ¤ÎïÌå²úÉúµÄ¼ÓËÙ¶ÈÓëºÏÍâÁ¦¡¢ÖÊÁ¿¹ØÏµ¡±µÄʵÑ飬ͼÖÐNQÊÇˮƽ×ÀÃæ£¬PQÊÇÒ»¶Ë´øÓл¬Âֵij¤Ä¾°å£¬1¡¢2¡¢Êǹ̶¨ÔÚľ°åÉϵÄÁ½¸ö¹âµçÃÅ£¨ÓëÖ®Á¬½ÓµÄÁ½¸ö¹âµç¼ÆÊ±Æ÷ûÓл­³ö£©£®Ð¡³µÉϹ̶¨×ÅÓÃÓÚµ²¹âµÄխƬ£¬ÈÃС³µ´Óľ°åµÄ¶¥¶Ë»¬Ï£¬¹âµçß÷×ÔÁ¬½ÓµÄ¼ÆÊ±Æ÷ÏÔʾխƬµÄµ²¹âʱ¼ä£®
¾«Ó¢¼Ò½ÌÍø
¢ÙÓÃÓα꿨³ß²âÁ¿Ð¡»¬¿éµÄ¿í¶Èd=0.50cm£¨L¡Ýd£©£¬¹âµçÃÅ1¡¢2¸÷×ÔÁ¬½ÓµÄ¼ÆÊ±Æ÷ÏÔʾµÄµ²¹âʱ¼ä·Ö±ðΪt1=2.50¡Á10-2s¡¢t2=1.25¡Á10-2s£®Ôò»¬¿éͨ¹ý¹âµçÃÅ1µÄËÙ¶ÈΪ
 
m/s
¢ÚÓÃÃ׳߲âÁ¿¹âµçÃżä¾àΪL£¬ÔòС³µµÄ¼ÓËٶȱí´ïʽa=
 
£¨¸÷Á¿¾ùÓâ٢ÚÀïµÄ×Öĸ±íʾ£©£®
¢Û¸ÃʵÑéΪÁ˰ÑɰºÍɰͰmÀ­³µµÄÁ¦µ±×÷С³µµÄºÏÁ¦±ØÐëÆ½ºâĦ²ÁÁ¦£¬·½·¨ÊÇ
 
£®
¢Ü¸ÃʵÑéÖУ¬ÈÃС³µÖÊÁ¿M²»±äʱ£¬Ì½¾¿aÓëF ¹ØÏµ£¬Ê¹ÓõÄ̽¾¿·½·¨ÊÇ
 
£®ÓÐλͬѧͨ¹ý²âÁ¿£¬×÷³öa-FͼÏߣ¬Èçͼ±ûÖеÄʵÏßËùʾ£®ÊÔ·ÖÎö£º
ͼÏß²»Í¨¹ý×ø±êÔ­µãµÄÔ­ÒòÊÇ
 
£»Í¼ÏßÉϲ¿ÍäÇúµÄÔ­ÒòÊÇ
 
£®

ΪÁËÑо¿ÔȱäËÙÖ±ÏßÔ˶¯µÄËÙ¶ÈËæÊ±¼äµÄ±ä»¯¹æÂÉ£¬Ä³Í¬Ñ§Óôòµã¼ÆÊ±Æ÷¼Ç¼Á˱»Ð¡³µÍ϶¯µÄÖ½´øµÄÔ˶¯Çé¿ö£¬Èçͼ¼×Ëùʾ£¬ÔÚÖ½´øÉÏÈ·¶¨³öA¡¢B¡¢C¡¢D¡¢E¡¢F¡¢G¹²7¸ö¼ÆÊýµã¡£¸Ãͬѧ¸ù¾ÝÖ½´øÉϸ÷¸ö¼ÆÊýµã¼äµÄ¾àÀ룬¼ÆËã³ö´òÏÂB¡¢C¡¢D¡¢E¡¢FÎå¸öµãʱС³µµÄ˲ʱËÙ¶È£¬½«B¡¢C¡¢D¡¢E¡¢F¸÷¸öʱ¿ÌµÄ˲ʱËٶȱêÔÚÈçͼÒÒµÄËùʾµÄ×ø±êÖ½ÉÏ£¬²¢»­³öÁËС³µµÄ˲ʱËÙ¶ÈËæÊ±¼ä±ä»¯µÄ¹ØÏµÍ¼Ïó£¬ÔòÏÂÁÐ˵·¨²»ÕýÈ·µÄÊÇ

       A£®¸ÃͬѧµÄÑо¿¹ý³ÌÌåÏÖÁËÎïÀíѧÑо¿µÄÒ»°ãÐÔ¹ý³Ì£¬ÓÉʵÑéµÃ³öÊý¾Ý£¬ÔÙÀûÓÃͼÏó·ÖÎöÊý¾Ý£¬×îºóµÃ³öÎïÀí¹æÂÉ

       B£®´ÓÊýѧ½Ç¶ÈÀ´¿´£¬Í¼ÖÐÖ±Ïß·½³ÌΪ£¨ÆäÖÐyÊǶÔÓ¦v,x¶ÔÓ¦t,bÊÇ×ÝÖá½Ø¾à¶ÔÓ¦v0£¬k¶ÔÓ¦¼ÓËÙ¶Èa£©£¬ÔòËÙ¶ÈÓëʱ¼äµÄ¹ØÏµ¾ÍÊÇv=v0+at

       C£®´ÓÊýѧ½Ç¶ÈÀ´¿´£¬Í¼ÖÐÖ±Ïß·½³ÌΪ£¨ÆäÖÐyÊǶÔÓ¦v£¬x¶ÔÓ¦t,£¬k¶ÔÓ¦¼ÓËÙ¶Èa£©£¬ÔòËÙ¶ÈÓëʱ¼äµÄ¹ØÏµ¾ÍÊÇv=at

       D£®×÷ͼʱ£¬Äܹ»Èô󲿷ֵãÂäÔÚÉÏÃæµÄÖ±ÏßÉϸüÄÜÌåÏÖС³µµÄֱʵÔ˶¯¹æÂÉ

£¨1£©Èçͼ1ÓÃÂÝÐý²â΢Æ÷²â¶¨Ä³Ò»½ðÊô˿ֱ¾¶£¬²âµÃµÄÖ±¾¶Îª______mm£»ÓÃ20µÈ·Ö¿Ì¶ÈµÄÓα꿨³ß²âÒ»¹¤¼þµÄ³¤¶È£¬²âµÃµÄ³¤¶ÈΪ______cm£®
£¨2£©Ïñ´òµã¼ÆÊ±Æ÷Ò»Ñù£¬¹âµç¼ÆÊ±Æ÷Ò²ÊÇÒ»ÖÖÑо¿ÎïÌåÔ˶¯Çé¿öµÄ³£¼û¼ÆÊ±ÒÇÆ÷£¬Æä½á¹¹Èçͼ¼×Ëùʾ£¬a¡¢b·Ö±ðÊǹâµçÃŵļ¤¹â·¢ÉäºÍ½ÓÊÕ×°Ö㮵±ÓÐÎïÌå´Óa¡¢b¼äͨ¹ýʱ£¬¹âµç¼ÆÊ±Æ÷¾Í¿ÉÒÔÏÔʾÎïÌåµÄµ²¹âʱ¼ä£®ÏÖÀûÓÃͼÒÒËùʾװÖÃÉè¼ÆÒ»¸ö¡°ÑéÖ¤ÎïÌå²úÉúµÄ¼ÓËÙ¶ÈÓëºÏÍâÁ¦¡¢ÖÊÁ¿¹ØÏµ¡±µÄʵÑ飬ͼÖÐNQÊÇˮƽ×ÀÃæ£¬PQÊÇÒ»¶Ë´øÓл¬Âֵij¤Ä¾°å£¬1¡¢2¡¢Êǹ̶¨ÔÚľ°åÉϵÄÁ½¸ö¹âµçÃÅ£¨ÓëÖ®Á¬½ÓµÄÁ½¸ö¹âµç¼ÆÊ±Æ÷ûÓл­³ö£©£®Ð¡³µÉϹ̶¨×ÅÓÃÓÚµ²¹âµÄխƬ£¬ÈÃС³µ´Óľ°åµÄ¶¥¶Ë»¬Ï£¬¹âµçß÷×ÔÁ¬½ÓµÄ¼ÆÊ±Æ÷ÏÔʾխƬµÄµ²¹âʱ¼ä£®

¾«Ó¢¼Ò½ÌÍø

¢ÙÓÃÓα꿨³ß²âÁ¿Ð¡»¬¿éµÄ¿í¶Èd=0.50cm£¨L¡Ýd£©£¬¹âµçÃÅ1¡¢2¸÷×ÔÁ¬½ÓµÄ¼ÆÊ±Æ÷ÏÔʾµÄµ²¹âʱ¼ä·Ö±ðΪt1=2.50¡Á10-2s¡¢t2=1.25¡Á10-2s£®Ôò»¬¿éͨ¹ý¹âµçÃÅ1µÄËÙ¶ÈΪ______m/s
¢ÚÓÃÃ׳߲âÁ¿¹âµçÃżä¾àΪL£¬ÔòС³µµÄ¼ÓËٶȱí´ïʽa=______£¨¸÷Á¿¾ùÓâ٢ÚÀïµÄ×Öĸ±íʾ£©£®
¢Û¸ÃʵÑéΪÁ˰ÑɰºÍɰͰmÀ­³µµÄÁ¦µ±×÷С³µµÄºÏÁ¦±ØÐëÆ½ºâĦ²ÁÁ¦£¬·½·¨ÊÇ______£®
¢Ü¸ÃʵÑéÖУ¬ÈÃС³µÖÊÁ¿M²»±äʱ£¬Ì½¾¿aÓëF ¹ØÏµ£¬Ê¹ÓõÄ̽¾¿·½·¨ÊÇ______£®ÓÐλͬѧͨ¹ý²âÁ¿£¬×÷³öa-FͼÏߣ¬Èçͼ±ûÖеÄʵÏßËùʾ£®ÊÔ·ÖÎö£º
ͼÏß²»Í¨¹ý×ø±êÔ­µãµÄÔ­ÒòÊÇ______£»Í¼ÏßÉϲ¿ÍäÇúµÄÔ­ÒòÊÇ______£®
£¨1£©Èçͼ1ÓÃÂÝÐý²â΢Æ÷²â¶¨Ä³Ò»½ðÊô˿ֱ¾¶£¬²âµÃµÄÖ±¾¶Îª______mm£»ÓÃ20µÈ·Ö¿Ì¶ÈµÄÓα꿨³ß²âÒ»¹¤¼þµÄ³¤¶È£¬²âµÃµÄ³¤¶ÈΪ______cm£®
£¨2£©Ïñ´òµã¼ÆÊ±Æ÷Ò»Ñù£¬¹âµç¼ÆÊ±Æ÷Ò²ÊÇÒ»ÖÖÑо¿ÎïÌåÔ˶¯Çé¿öµÄ³£¼û¼ÆÊ±ÒÇÆ÷£¬Æä½á¹¹Èçͼ¼×Ëùʾ£¬a¡¢b·Ö±ðÊǹâµçÃŵļ¤¹â·¢ÉäºÍ½ÓÊÕ×°Ö㮵±ÓÐÎïÌå´Óa¡¢b¼äͨ¹ýʱ£¬¹âµç¼ÆÊ±Æ÷¾Í¿ÉÒÔÏÔʾÎïÌåµÄµ²¹âʱ¼ä£®ÏÖÀûÓÃͼÒÒËùʾװÖÃÉè¼ÆÒ»¸ö¡°ÑéÖ¤ÎïÌå²úÉúµÄ¼ÓËÙ¶ÈÓëºÏÍâÁ¦¡¢ÖÊÁ¿¹ØÏµ¡±µÄʵÑ飬ͼÖÐNQÊÇˮƽ×ÀÃæ£¬PQÊÇÒ»¶Ë´øÓл¬Âֵij¤Ä¾°å£¬1¡¢2¡¢Êǹ̶¨ÔÚľ°åÉϵÄÁ½¸ö¹âµçÃÅ£¨ÓëÖ®Á¬½ÓµÄÁ½¸ö¹âµç¼ÆÊ±Æ÷ûÓл­³ö£©£®Ð¡³µÉϹ̶¨×ÅÓÃÓÚµ²¹âµÄխƬ£¬ÈÃС³µ´Óľ°åµÄ¶¥¶Ë»¬Ï£¬¹âµçß÷×ÔÁ¬½ÓµÄ¼ÆÊ±Æ÷ÏÔʾխƬµÄµ²¹âʱ¼ä£®

¢ÙÓÃÓα꿨³ß²âÁ¿Ð¡»¬¿éµÄ¿í¶Èd=0.50cm£¨L¡Ýd£©£¬¹âµçÃÅ1¡¢2¸÷×ÔÁ¬½ÓµÄ¼ÆÊ±Æ÷ÏÔʾµÄµ²¹âʱ¼ä·Ö±ðΪt1=2.50×10-2s¡¢t2=1.25×10-2s£®Ôò»¬¿éͨ¹ý¹âµçÃÅ1µÄËÙ¶ÈΪ______m/s
¢ÚÓÃÃ׳߲âÁ¿¹âµçÃżä¾àΪL£¬ÔòС³µµÄ¼ÓËٶȱí´ïʽa=______£¨¸÷Á¿¾ùÓâ٢ÚÀïµÄ×Öĸ±íʾ£©£®
¢Û¸ÃʵÑéΪÁ˰ÑɰºÍɰͰmÀ­³µµÄÁ¦µ±×÷С³µµÄºÏÁ¦±ØÐëÆ½ºâĦ²ÁÁ¦£¬·½·¨ÊÇ______£®
¢Ü¸ÃʵÑéÖУ¬ÈÃС³µÖÊÁ¿M²»±äʱ£¬Ì½¾¿aÓëF ¹ØÏµ£¬Ê¹ÓõÄ̽¾¿·½·¨ÊÇ______£®ÓÐλͬѧͨ¹ý²âÁ¿£¬×÷³öa-FͼÏߣ¬Èçͼ±ûÖеÄʵÏßËùʾ£®ÊÔ·ÖÎö£º
ͼÏß²»Í¨¹ý×ø±êÔ­µãµÄÔ­ÒòÊÇ______£»Í¼ÏßÉϲ¿ÍäÇúµÄÔ­ÒòÊÇ______£®

Î¥·¨ºÍ²»Á¼ÐÅÏ¢¾Ù±¨µç»°£º027-86699610 ¾Ù±¨ÓÊÏ䣺58377363@163.com

¾«Ó¢¼Ò½ÌÍø