题目内容
如图所示,两个小球固定在一根长为L的杆的两端,绕杆上的O点做圆周运动.当小球A的速度为vA时,小球B的速度为vB,则轴心O到小球A的距离是( )A.vA(vA+vB)L
B.
C.
D.
【答案】分析:本题主要考察了物体做圆周运动时线速度、角速度、半径等物理量之间的关系,在本题中注意两球做圆周运动时角速度相等这一隐含条件.
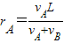
解答:解:设球A的半径为rA,球B的半径为rB,则有rA+rB=L,
vA+vB=ωrA+ωrB=ωL ①
vA=ωrA ②
,由此可知选项ACD错误,B正确.
故选B.
点评:本题通过噶“杆”模型考察了线速度、角速度、半径等物理量之间的关系,题意新颖,有思维含量.
解答:解:设球A的半径为rA,球B的半径为rB,则有rA+rB=L,
vA+vB=ωrA+ωrB=ωL ①
vA=ωrA ②
故选B.
点评:本题通过噶“杆”模型考察了线速度、角速度、半径等物理量之间的关系,题意新颖,有思维含量.
练习册系列答案
相关题目
| A、加速度大小等于重力加速度g的位置有两个 | B、小球运动到与O点等高的位置时,弹簧弹力的功率不为零 | C、弹簧弹力对小球先做正功再做负功 | D、小球到达B点时的速度一定为零 |