题目内容
某同学用如图甲所示的装置验证机械能守恒定律:①.在操作步骤中释放纸带和接通电源的先后顺序应该是______.
②.若挑选的一条点迹清晰的纸带如图乙所示,实验时纸带的运动方向是______.(选填“A→F”或“F→A”)
③.如图乙所示,已知相邻两个点间的时间间隔为T,从A点到B、C、D、E、F点的距离依次为s1、s2、s3、s4、s5(图中未标s3、s4、s5),则由此可求得纸带上由B点到E点所对应过程中,重力对滑块(质量为m)所做的功W=______,该滑块动能改变量的表达式为△EK=______;(结果用题中已知物理量的符号表示);若满足______,则重物下落过程中机械能守恒定律.
【答案】分析:正确解答本题需要掌握:正确使用打点计时器,明确释放纸带和接通电源的先后顺序;物体带着纸带加速运动时,打点间隔越来越大;根据重力做功特点以及功能关系,熟练应用匀变速直线运动规律,正确进行验证机械能守恒定律的数据处理.
解答:解:①采取先接通电源后释放纸带.因为保证从速度为零开始计时,便于之后选取计数点;其次就是测量时间很短无法保证人能在合适时间开启电源,同时为了提高纸带的利用率,使纸带上尽量多的打点,
故答案为:先接通电源再释放纸带.
②物体做加速运动,速度越来越快,打点间隔越来越大,因此运动方向是F→A.
故答案为:F→A.
③根据重力做功特点可知:W=mg(s4-s1)
根据匀变速直线运动的特点有:
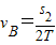
B点速度为:

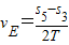
所以动能增量为:
.
根据功能关系可知,若重力做功和动能增量基本相等,则说明机械能是守恒的.
故答案为:W=mg(s4-s1),
,W≈△EK.
点评:本题考查了实验的基础操作,以及利用功能关系和匀变速直线运动规律来处理数据,较好的考查了学生对基础知识、基本规律的掌握情况.
解答:解:①采取先接通电源后释放纸带.因为保证从速度为零开始计时,便于之后选取计数点;其次就是测量时间很短无法保证人能在合适时间开启电源,同时为了提高纸带的利用率,使纸带上尽量多的打点,
故答案为:先接通电源再释放纸带.
②物体做加速运动,速度越来越快,打点间隔越来越大,因此运动方向是F→A.
故答案为:F→A.
③根据重力做功特点可知:W=mg(s4-s1)
根据匀变速直线运动的特点有:
B点速度为:
所以动能增量为:
根据功能关系可知,若重力做功和动能增量基本相等,则说明机械能是守恒的.
故答案为:W=mg(s4-s1),
点评:本题考查了实验的基础操作,以及利用功能关系和匀变速直线运动规律来处理数据,较好的考查了学生对基础知识、基本规律的掌握情况.
练习册系列答案
相关题目