题目内容

火车正常行驶的速度是54 km/h,关闭发动机后,开始做匀减速运动,6 s末的速度是43.2 km/h,

求:(1)火车的加速度;

(2)15 s末的速度;

(3)45 s末的速度.

答案:
解析:

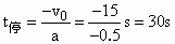
  解:以火车运动的方向为正方向,v0=54 km/h=15 m/s;v1=43.2 km/h=12 m/s

  (1)由得,

  火车做匀减速直线运动的时间

  (2)15 s末的速度,方向沿与火车运动的方向

  (3)由于火车30 s末的速度已减小为零,此后处于静止状态,所以45 s末的速度为零.


练习册系列答案
相关题目

违法和不良信息举报电话:027-86699610 举报邮箱:58377363@163.com

精英家教网