题目内容
一汽车在平直公路上以速度V匀速行驶.(1)司机突然发现在前方x=90m的地方有路障,开始紧急刹车,已知刹车的加速度是a1=-5m/s2,汽车刚好在路障前面停下,求汽车原来的速度V是多少?
(2)若汽车的刹车加速度是a2=-3m/s2,初速度不变,为使汽车不撞上路障,司机必须比加速度是a1=-5m/s2时提早多少米发现路障?
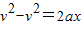
【答案】分析:(1)知道位移、加速度,末速度(为0),根据匀变速直线运动的速度位移公式
,求出汽车原来的速度.
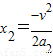
(2)知道初速度、加速度、末速度(为0),根据匀变速直线运动的速度位移公式
,求出汽车的位移,减去90m,即为提早的距离.
解答:解:(1)由匀变速直线运动的速度位移公式
,得:
=
故汽车原来的速度为30m/s.
(2)若汽车的加速度是a2=-3m/s2,初速度不变.根据匀变速直线运动的速度位移公式
,
=
△x=150-90m=60m
故司机必须提早60m刹车.
点评:解决本题的关键掌握匀变速直线运动的速度位移公式
.
(2)知道初速度、加速度、末速度(为0),根据匀变速直线运动的速度位移公式
解答:解:(1)由匀变速直线运动的速度位移公式
故汽车原来的速度为30m/s.
(2)若汽车的加速度是a2=-3m/s2,初速度不变.根据匀变速直线运动的速度位移公式
△x=150-90m=60m
故司机必须提早60m刹车.
点评:解决本题的关键掌握匀变速直线运动的速度位移公式
练习册系列答案
相关题目