题目内容

(9分)如图所示,竖直平面内的光滑半圆形轨道MN的半径为R,MP为粗糙水平面.两个小物块A、B可视为质点,在半圆形轨道圆心O的正下方M处,处于静止状态.若A、B之间夹有少量炸药,炸药爆炸后,A恰能经过半圆形轨道的最高点N,而B到达的最远位置恰好是A在水平面上的落点.已知粗糙水平面与B之间的动摩擦因数为μ,求:

(1)A在轨道最高点的速度大小;

(2)B到达的最远位置离M点的距离;

(3)A与B的质量之比.

 

【答案】

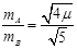
(1)(2)x=2R  (3)

【解析】

试题分析:(1)A恰能经过半圆形轨道的最高点  

解得               (2分)

(2)A做平抛运动,由平抛运动规律     

B到达的最远位置离M点的距离即为  x=2R                (3分)

    (3)炸药爆炸过程由动量守恒定律                    (1分)

A上升到N的过程,由机械能守恒定律    (1分)

对B,由动能定理                    (1分)

解得                (1分)

考点:圆周运动,动量守恒定律    机械能

 

练习册系列答案
相关题目

违法和不良信息举报电话:027-86699610 举报邮箱:58377363@163.com

精英家教网