题目内容

发射地球同步卫星时,先将卫星发射至近地圆轨道1,然后经点火,使其沿椭圆轨道2运行,最后再次点火,将卫星送入同步圆轨道3,轨道1,2相切于Q点,轨道2,3相切于P点,如图所示,则当卫星分别在1,2,3轨道上正常运行时,以下说法正确的是

[  ]

A.卫星在轨道3上的速率大于在轨道1上的速率

B.卫星在轨道1上的角速度小于在轨道3上的角速度

C.卫星在轨道1上经过Q点时的加速度大于它在轨道2上经过点Q时的加速度

D.卫星在轨道2上经过P点时的加速度等于它轨道3上经过点P时的加速度

 
答案:D
解析:

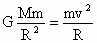
对于在轨道1和轨道3上做圆周运动的卫星来说,都是由万有引力提供向心力,根据万有引力定律和向心力公式得

化简有

卫星的线速度与轨道半径平方根成反比,则,选项A错.

化简有,则,选项B错.

对于沿轨道1、轨道2运动的卫星,经过Q点时,仅受万有引力作用.根据牛顿第二定律,其加速度相同,选项C错.

同理,沿轨道2、轨道3运动的卫星,经过P点时加速度相同,D选项正确.

根据万有引力提供向心力得到的向心力方程,是分析不同轨道上卫星的运动情况的关键.假设该卫星在轨道123上运动的机械能分别为,则有;假设卫星沿轨道2运动,经过PQ时的速度分别为,则有(表示卫星在圆轨道13上的线速度)

进一步从卫星沿椭圆轨道2运动的机械能守恒可得到,,所以(P点比Q点重力势能大)


练习册系列答案
相关题目

违法和不良信息举报电话:027-86699610 举报邮箱:58377363@163.com

精英家教网