题目内容
已知长为L的光滑斜面,物体从斜面顶端由静止开始匀加速下滑,当物体的速度是到达斜面底端速度的A.
B.
C.
D.
【答案】分析:由题意可知,物体做初速度为零的匀加速直线运动,根据公式
可正确解答.
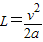
解答:解:设到达底端的速度为v,则有:
斜面长度为:
①
当物体的速度是到达斜面底端速度的
时,下滑距离为:
②
由①②可知:
,故BCD错误,A正确.
故选A.
点评:根据运动特点,合理选择运动学公式进行求解是学生必须具备的能力,这要在平时训练中不断的锻炼提高.
解答:解:设到达底端的速度为v,则有:
斜面长度为:
当物体的速度是到达斜面底端速度的
由①②可知:
故选A.
点评:根据运动特点,合理选择运动学公式进行求解是学生必须具备的能力,这要在平时训练中不断的锻炼提高.
练习册系列答案
相关题目