题目内容
A.质点的初速度大小为5m/s
B.质点运动的加速度大小为3m/s2
C.2s末质点速度大小为5m/s
D.质点所受的合外力大小为5N
【答案】分析:根据运动的合成可知:质点的初速度大小为4m/s.质点在y轴方向加速度为零,只有x轴方向有加速度,由vx-t图象的斜率求出加速度.根据速度的合成求解2s末质点速度大小.由牛顿第二定律求出合外力.
解答:解:A、由图y轴方向初速度为零,则质点的初速度大小为4m/s.故A错误.
B、质点在y轴方向加速度为零,只有x轴方向有加速度,由vx-t图象的斜率读出质点的加速度a=
=1.5m/s2.故B错误.
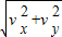
C、2s末vx=3m/s,vy=4m/s,则质点的速度为v=
=5m/s.故C正确.
D、由牛顿第二定律得:质点的合外力F=ma=1.5m/s2.故D错误.
故选C
点评:本题应用运动的合成法分析物体的合运动速度和加速度,研究方法类似于平抛运动,没有新意.
解答:解:A、由图y轴方向初速度为零,则质点的初速度大小为4m/s.故A错误.
B、质点在y轴方向加速度为零,只有x轴方向有加速度,由vx-t图象的斜率读出质点的加速度a=
C、2s末vx=3m/s,vy=4m/s,则质点的速度为v=
D、由牛顿第二定律得:质点的合外力F=ma=1.5m/s2.故D错误.
故选C
点评:本题应用运动的合成法分析物体的合运动速度和加速度,研究方法类似于平抛运动,没有新意.
练习册系列答案
相关题目
| A、第1s内质点动能增加量是2J | B、第2s内合外力所做的功是2J | C、第2s末合外力的瞬时功率是2W | D、0~2s内合外力的平均功率是4.5W |