题目内容
(1)滑块滑到B点的瞬间对圆弧轨道的压力大小.
(2)要使滑块既能挤压弹簧,又最终没有滑离小车,则小车上PQ之间的距离应在什么范围内?(滑块与弹簧的相互作用始终在弹簧的弹性范围内)
【答案】分析:(1)根据机械能守恒定律求出滑块到达B点的速度,再根据牛顿第二定律求出轨道对滑块的支持力,从而求出滑块对圆弧轨道的压力大小.
(2)滑块最终没有离开小车,滑块和小车必然具有共同的末速度,根据动量守恒定律求出共同的速度,根据能量守恒求出滑块与弹簧恰好不碰撞时PQ的长度,该长度为最大长度.小车PQ之间的距离L不是很大,则滑块必然挤压弹簧,由于Q点右侧是光滑的,滑块必然被弹回到PQ之间,设滑块恰好回到小车的左端P点处,根据动量守恒和能量守恒求出L的最小值.从而得出L的范围.
解答:解:(1)设滑块滑到B点的速度大小为v,到B点时轨道对滑块的支持力为N,由机械能守恒定律有
…①
滑块滑到B点时,由牛顿第二定律有:
…②
联立①②式解得:N=3mg…③
根据牛顿第三定律,滑块在B点对轨道的压力大小为:N′=3mg
(2)滑块最终没有离开小车,滑块和小车必然具有共同的末速度设为u,滑块与小车组成的系统动量守恒,有mv=(M+m)u…④
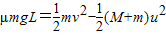
若小车PQ之间的距离L足够大,则滑块可能不与弹簧接触就已经与小车相对静止,设滑块恰好滑到Q点,由功能关系有
…⑤
联立①④⑤式解得:
…⑥
若小车PQ之间的距离L不是很大,则滑块必然挤压弹簧,由于Q点右侧是光滑的,滑块必然被弹回到PQ之间,设滑块恰好回到小车的左端P点处,由功能关系有
…⑦
联立①④⑦式解得
…⑧
综上所述并由⑥⑧式可知,要使滑块既能挤压弹簧,又最终没有离开小车,PQ之间的距离L应满足的范围是:
…⑨
答:(1)滑块滑到B点的瞬间对圆弧轨道的压力大小3mg.
(2)PQ之间的距离L应满足的范围是
.
点评:解决本题的关键抓住两个临界状态,一个是恰好与弹簧接触,一个是反弹后恰好运动到P点,结合动量守恒定律和能量守恒定律进行求解.
(2)滑块最终没有离开小车,滑块和小车必然具有共同的末速度,根据动量守恒定律求出共同的速度,根据能量守恒求出滑块与弹簧恰好不碰撞时PQ的长度,该长度为最大长度.小车PQ之间的距离L不是很大,则滑块必然挤压弹簧,由于Q点右侧是光滑的,滑块必然被弹回到PQ之间,设滑块恰好回到小车的左端P点处,根据动量守恒和能量守恒求出L的最小值.从而得出L的范围.
解答:解:(1)设滑块滑到B点的速度大小为v,到B点时轨道对滑块的支持力为N,由机械能守恒定律有
滑块滑到B点时,由牛顿第二定律有:
联立①②式解得:N=3mg…③
根据牛顿第三定律,滑块在B点对轨道的压力大小为:N′=3mg
(2)滑块最终没有离开小车,滑块和小车必然具有共同的末速度设为u,滑块与小车组成的系统动量守恒,有mv=(M+m)u…④
若小车PQ之间的距离L足够大,则滑块可能不与弹簧接触就已经与小车相对静止,设滑块恰好滑到Q点,由功能关系有
联立①④⑤式解得:
若小车PQ之间的距离L不是很大,则滑块必然挤压弹簧,由于Q点右侧是光滑的,滑块必然被弹回到PQ之间,设滑块恰好回到小车的左端P点处,由功能关系有
联立①④⑦式解得
综上所述并由⑥⑧式可知,要使滑块既能挤压弹簧,又最终没有离开小车,PQ之间的距离L应满足的范围是:
答:(1)滑块滑到B点的瞬间对圆弧轨道的压力大小3mg.
(2)PQ之间的距离L应满足的范围是
点评:解决本题的关键抓住两个临界状态,一个是恰好与弹簧接触,一个是反弹后恰好运动到P点,结合动量守恒定律和能量守恒定律进行求解.
练习册系列答案
相关题目