ÌâÄ¿ÄÚÈÝ
ijͬѧÔÚ¡°ÀûÓõ¥°Ú²â¶¨ÖØÁ¦¼ÓËÙ¶È¡±µÄʵÑéÖУ¬²âµÃ°ÚÏß³¤ÎªL£¬°ÚÇòÖ±¾¶Îªd£¬È»ºóÓÃÃë±í²âµÃn´ÎÈ«Õñ¶¯µÄʱ¼äΪt£¬Ôò£º£¨1£©ÖØÁ¦¼ÓËٶȵıí´ïʽg=______£®£¨ÓÃÉÏÊö·ûºÅ±íʾ£©
£¨2£©ÈôÓÃ×îС·Ö¶ÈΪºÁÃ׵Ŀ̶ȳ߲âµÃ°ÚÏß³¤Îª970.8mm£¬ÓÃ10·Ö¶ÈµÄÓα꿨³ß²âµÃ°ÚÇòÖ±¾¶Èçͼ£¬°ÚÇòµÄÖ±¾¶Îª______mm£®µ¥°ÚÔÚÊúÖ±ÃæÄÚ°Ú¶¯£¬ÓÃÃë±í²â³öµ¥°Ú×ö50´ÎÈ«Õñ¶¯ËùÓõÄʱ¼äÈçͼ£¬Ôòt=______s£¬µ¥°ÚµÄÖÜÆÚΪ______s£®ÇóµÃµ±µØµÄÖØÁ¦¼ÓËÙ¶ÈΪ______m/s2£®£¨È¡¦Ð2=10£©
£¨3£©Èç¹ûËû²âµÃµÄgֵƫС£¬¿ÉÄܵÄÔÒòÊÇ______
A¡¢²â°ÚÏß³¤Ê±°ÚÏßÀµÃ¹ý½ô
B¡¢°ÚÇòÔÚË®Æ½ÃæÄÚ×öÔ²ÖÜÔ˶¯
C¡¢°ÚÏßÉ϶ËÐüµãδ¹Ì¶¨£¬Õñ¶¯¹ý³ÌÖгöÏÖËɶ¯£¬°ÚÏß³¤¶ÈÔö¼ÓÁË
D¡¢¿ªÊ¼¼ÆÊ±£¬Ãë±í¹ý³Ù°´Ï£®
¡¾´ð°¸¡¿·ÖÎö£º£¨1£©¸ù¾ÝÌâÒâÇó³öµ¥°ÚµÄ°Ú³¤ÓëÖÜÆÚ£¬È»ºóÓɵ¥°ÚÖÜÆÚ¹«Ê½µÄ±äÐι«Ê½Çó³öÖØÁ¦¼ÓËٶȱí´ïʽ£®
£¨2£©Óα꿨³ßµÄʾÊýµÈÓÚÖ÷³ßʾÊýÓëÓαê³ßʾÊýÖ®ºÍ£»Ãë±íʾÊýµÈÓÚ·ÖÕëʾÊýÓëÃëÕëʾÊýÖ®ºÍ£¬
¸ù¾ÝͼʾÃë±í¶Á³öÃë±íʾÊý£¬È»ºóÇó³öµ¥°ÚµÄÖÜÆÚ£¬°ÑËù²âÊý¾Ý´úÈëÖØÁ¦¼ÓËٶȹ«Ê½£¬Çó³öÖØÁ¦¼ÓËÙ¶È£®
£¨3£©¸ù¾ÝÖØÁ¦¼ÓËٶȱí´ïʽ·ÖÎöʵÑéÎó²îÔÒò£®
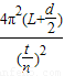
½â´ð£º½â£º£¨1£©µ¥°Ú°Ú³¤l=L+
£¬µ¥°ÚÖÜÆÚT=
£¬Óɵ¥°ÚÖÜÆÚ¹«Ê½T=2¦Ð
¿ÉÖª£¬
g=
=
=
£»
£¨2£©ÓÉͼʾÓα꿨³ß¿ÉÖª£¬Ö÷³ßµÄʾÊýÊÇ18mm£¬Óαê³ßµÄʾÊýÊÇ4×0.1mm=0.4mm£¬
ÔòÓα꿨³ßʾÊý£¬¼´Ð¡ÇòÖ±¾¶d=18mm+0.4mm=18.4mm£»
ÓÉͼʾÃë±í¿ÉÖª£¬·ÖÕëʾÊýÊÇ1m=60s£¬ÃëÕëʾÊýÊÇ40s£¬Ãë±íʾÊýÊÇ60s+40s=100.0s£¬µ¥°ÚÖÜÆÚT=
=
=2.0s£»
µ¥°Ú°Ú³¤l=L+
=970.8mm+
=980mm=0.98m£¬ÖØÁ¦¼ÓËÙ¶Èg=
=
=9.8m/s2£»
£¨3£©ÓÉg=
=
¿ÉÖª£º
A¡¢²â°ÚÏß³¤Ê±°ÚÏßÀµÃ¹ý½ô£¬°Ú³¤Æ«´ó£¬Ëù²âÖØÁ¦¼ÓËÙ¶ÈÆ«´ó£¬²»·ûºÏÌâÒ⣻
B¡¢°ÚÇòÔÚË®Æ½ÃæÄÚ×öÔ²ÖÜÔ˶¯£¬³ÉΪԲ׶°Ú£¬°ÚµÄ°Ú³¤Îª£¨L+
£©cos¦È£¬
¦ÈÊÇ°ÚµÄÆ«½Ç£¬µ¥°Ú°Ú³¤Æ«Ð¡£¬Ëù²âÖØÁ¦¼ÓËÙ¶ÈÆ«Ð¡£¬·ûºÏÌâÒ⣻
C¡¢°ÚÏßÉ϶ËÐüµãδ¹Ì¶¨£¬Õñ¶¯¹ý³ÌÖгöÏÖËɶ¯£¬°ÚÏß³¤¶ÈÔö¼ÓÁË£¬Ëù²âÖØÁ¦¼ÓËÙ¶ÈÆ«´ó£¬²»·ûºÏÌâÒ⣻
D¡¢¿ªÊ¼¼ÆÊ±£¬Ãë±í¹ý³Ù°´Ï£¬Ëù²âʱ¼ätƫС£¬Ëù²âÖØÁ¦¼ÓËÙ¶ÈÆ«´ó£¬²»·ûºÏÌâÒ⣻
Èç¹ûËû²âµÃµÄgֵƫС£¬¿ÉÄܵÄÔÒòÊÇ£ºB¡¢°ÚÇòÔÚË®Æ½ÃæÄÚ×öÔ²ÖÜÔ˶¯£»
¹Ê´ð°¸Îª£º£¨1£©
£»£¨2£©18.4£»100.0£»2.0£»9.8£»£¨3£©B£®
µãÆÀ£º¶ÔÓα꿨³ß¶ÁÊýʱ£¬Ëû¡¢Òª×¢ÒâÈ·¶¨Óαê³ßµÄ¾«¶È£¬Èç¹ûÓαê³ßÊÇ10·Ö¶ÈµÄ£¬Ôò¾«¶ÈΪ0.1mm£¬Èç¹ûÓαê³ßÊÇ20·Ö¶ÈµÄ£¬Ôò¾«¶ÈÊÇ0.05mm£¬Èç¹ûÓαê³ßÊÇ50·Ö¶ÈµÄ£¬Ôò¾«¶ÈÊÇ0.02mm£»·ÖÎöʵÑéÎó²îʱ£¬Òª¸ù¾ÝÖØÁ¦¼ÓËٶȵıí´ïʽ½øÐзÖÎö£®
£¨2£©Óα꿨³ßµÄʾÊýµÈÓÚÖ÷³ßʾÊýÓëÓαê³ßʾÊýÖ®ºÍ£»Ãë±íʾÊýµÈÓÚ·ÖÕëʾÊýÓëÃëÕëʾÊýÖ®ºÍ£¬
¸ù¾ÝͼʾÃë±í¶Á³öÃë±íʾÊý£¬È»ºóÇó³öµ¥°ÚµÄÖÜÆÚ£¬°ÑËù²âÊý¾Ý´úÈëÖØÁ¦¼ÓËٶȹ«Ê½£¬Çó³öÖØÁ¦¼ÓËÙ¶È£®
£¨3£©¸ù¾ÝÖØÁ¦¼ÓËٶȱí´ïʽ·ÖÎöʵÑéÎó²îÔÒò£®
½â´ð£º½â£º£¨1£©µ¥°Ú°Ú³¤l=L+
g=
£¨2£©ÓÉͼʾÓα꿨³ß¿ÉÖª£¬Ö÷³ßµÄʾÊýÊÇ18mm£¬Óαê³ßµÄʾÊýÊÇ4×0.1mm=0.4mm£¬
ÔòÓα꿨³ßʾÊý£¬¼´Ð¡ÇòÖ±¾¶d=18mm+0.4mm=18.4mm£»
ÓÉͼʾÃë±í¿ÉÖª£¬·ÖÕëʾÊýÊÇ1m=60s£¬ÃëÕëʾÊýÊÇ40s£¬Ãë±íʾÊýÊÇ60s+40s=100.0s£¬µ¥°ÚÖÜÆÚT=
µ¥°Ú°Ú³¤l=L+
£¨3£©ÓÉg=
A¡¢²â°ÚÏß³¤Ê±°ÚÏßÀµÃ¹ý½ô£¬°Ú³¤Æ«´ó£¬Ëù²âÖØÁ¦¼ÓËÙ¶ÈÆ«´ó£¬²»·ûºÏÌâÒ⣻
B¡¢°ÚÇòÔÚË®Æ½ÃæÄÚ×öÔ²ÖÜÔ˶¯£¬³ÉΪԲ׶°Ú£¬°ÚµÄ°Ú³¤Îª£¨L+
¦ÈÊÇ°ÚµÄÆ«½Ç£¬µ¥°Ú°Ú³¤Æ«Ð¡£¬Ëù²âÖØÁ¦¼ÓËÙ¶ÈÆ«Ð¡£¬·ûºÏÌâÒ⣻
C¡¢°ÚÏßÉ϶ËÐüµãδ¹Ì¶¨£¬Õñ¶¯¹ý³ÌÖгöÏÖËɶ¯£¬°ÚÏß³¤¶ÈÔö¼ÓÁË£¬Ëù²âÖØÁ¦¼ÓËÙ¶ÈÆ«´ó£¬²»·ûºÏÌâÒ⣻
D¡¢¿ªÊ¼¼ÆÊ±£¬Ãë±í¹ý³Ù°´Ï£¬Ëù²âʱ¼ätƫС£¬Ëù²âÖØÁ¦¼ÓËÙ¶ÈÆ«´ó£¬²»·ûºÏÌâÒ⣻
Èç¹ûËû²âµÃµÄgֵƫС£¬¿ÉÄܵÄÔÒòÊÇ£ºB¡¢°ÚÇòÔÚË®Æ½ÃæÄÚ×öÔ²ÖÜÔ˶¯£»
¹Ê´ð°¸Îª£º£¨1£©
µãÆÀ£º¶ÔÓα꿨³ß¶ÁÊýʱ£¬Ëû¡¢Òª×¢ÒâÈ·¶¨Óαê³ßµÄ¾«¶È£¬Èç¹ûÓαê³ßÊÇ10·Ö¶ÈµÄ£¬Ôò¾«¶ÈΪ0.1mm£¬Èç¹ûÓαê³ßÊÇ20·Ö¶ÈµÄ£¬Ôò¾«¶ÈÊÇ0.05mm£¬Èç¹ûÓαê³ßÊÇ50·Ö¶ÈµÄ£¬Ôò¾«¶ÈÊÇ0.02mm£»·ÖÎöʵÑéÎó²îʱ£¬Òª¸ù¾ÝÖØÁ¦¼ÓËٶȵıí´ïʽ½øÐзÖÎö£®
Á·Ï°²áϵÁдð°¸
Ïà¹ØÌâÄ¿