题目内容
我国为了研究月球,分别发射了“嫦娥一号”和“嫦娥二号”,已知“嫦娥一号”围绕月球的半径为200公里,“嫦娥二号”围绕月球的半径为100公里,下列说法正确的有( )A.“嫦娥一号”的线速度比嫦娥二号”大
B.“嫦娥一号”的角速度比嫦娥二号”大
C.“嫦娥一号”的周期比嫦娥二号”大
D.“嫦娥一号”的加速度比嫦娥二号”大
【答案】分析:能根据卫星做圆周运动的向心力由万有引力提供列出方程,根据方程得出线速度、角速度、周期与半径间的关系进行判断.
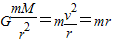
解答:解:由题意知卫星围绕月球做圆周运动时,向心力由万有引力提供,令月球质量为M,卫星质量为m,半径为r,列式有:

得:
A、线速度
,半径大的嫦娥一号线速度较小,故A错误;
B、角速度
,半径大的嫦娥一号角速度小,故B错误;
C、周期T=
,半径大的嫦娥一号周期大,故C正确;
D、向心加速度
,半径大的嫦娥一号向心加速度小,故D错误.
故选C.
点评:熟练掌握万有引力提供向心力,并能求出线速度、角速度、周期和向心加速度与半径间的关系是解决问题的关键.
解答:解:由题意知卫星围绕月球做圆周运动时,向心力由万有引力提供,令月球质量为M,卫星质量为m,半径为r,列式有:
A、线速度
B、角速度
C、周期T=
D、向心加速度
故选C.
点评:熟练掌握万有引力提供向心力,并能求出线速度、角速度、周期和向心加速度与半径间的关系是解决问题的关键.
练习册系列答案
相关题目