题目内容

天空有近似等高的浓云层.为了测量云层的高度,在水平地面上与观测者的距离为d3.0 km处进行一次爆炸,观测者听到由空气直接传来的爆炸声和由云层反射来的爆炸声时间上相差Δt6.0 s.试估算云层下表面的高度.已知空气中的声速vkm/s.

答案:
解析:

  答案:h2.0×103 m

  解析:如图,A表示爆炸处,O表示观测者所在处,h表示云层下表面的高度.用t1表示爆炸声直接传到O处所经时间,则有

  dvt1  ①

  用t2表示爆炸声经云层反射到O处所经时间,因为入射角等于反射角,故有2vt2  ②

  已知t2-t1Δt  ③

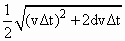
  联列①②③式可得h

  代入数值得h2.0×103 m.


练习册系列答案
相关题目

违法和不良信息举报电话:027-86699610 举报邮箱:58377363@163.com

精英家教网