题目内容
一根轻弹簧原长为X,当上端固定,下端挂质量为m1的砝码,静止时,弹簧总长为X1,求:(1)该弹簧的劲度系数K为多少?
(2)当挂质量为m2的砝码静止时,其总长为多少?
【答案】分析:本题应用胡克定律:F=kx,注意在应用时:x为形变量.找出各个物理量代入公式即可.
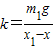
解答:解:(1)当弹力F等于m1g时,形变量x为:x1-x,代入胡克定律F=kx得:

;
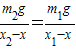
(2)当弹力F等于m2g时,设弹簧的长度为:x2,形变量x为:x2-x,代入胡克定律F=kx得:
.
答:(1)该弹簧的劲度系数为:
(2)当挂质量为m2的砝码静止时,其总长为
点评:本题是胡克定律的简单应用,找出各个物理量,代入F=kx即可.
解答:解:(1)当弹力F等于m1g时,形变量x为:x1-x,代入胡克定律F=kx得:
(2)当弹力F等于m2g时,设弹簧的长度为:x2,形变量x为:x2-x,代入胡克定律F=kx得:
答:(1)该弹簧的劲度系数为:
(2)当挂质量为m2的砝码静止时,其总长为
点评:本题是胡克定律的简单应用,找出各个物理量,代入F=kx即可.
练习册系列答案
相关题目