题目内容

利用图1中所示的装置可以研究自由落体运动.实验中需要调整好仪器,接通打点计时器的电源,松开纸带,使重物下落.打点计时器会在纸带上打出一系列的小点.
①为了测得重物下落的速度和加速度,还需要的实验器材有    .(填入正确选项前的字母)
A.天平    B.秒表    C.米尺     D.弹簧测力计
②打点计时器接在频率为50Hz的交流电源上,图2为实验中打出的一条纸带,从起始点O开始,将此后连续打出的7个点依次标为A、B、C、D….打点计时器打F点时,重物下落的速度为    m/s,该重物下落的加速度为     m/s2.(结果保留两位有效数字)
【答案】分析:根据实验原理和方法选择需要的器材,用匀变速运动的推论求解速度和加速度.
解答:解:①打点计时器测速度需要测量位移,需要刻度尺.故选C.
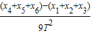
②vF=m/s=1.16m/s
设AB、BC、CD、DE、EF、FG的位移分别为x1、x2、x3、x4、x5、x6
则:a==9.60m/s2
故答案为:①C;②1.16,9.60
点评:解决本题的关键掌握该实验的原理,以及数据的处理方法,知道误差形成的原因.
练习册系列答案
相关题目
(1)利用图1中所示的装置可以研究自由落体运动.实验中需要调整好仪器,接通打点计时器的电源,松开纸带,使重物下落.打点计时器会在纸带上打出一系列的小点.
①为了测得重物下落的速度和加速度,还需要的实验器材有
C
C
.(填入正确选项前的字母)
A.天平    B.秒表    C.米尺     D.弹簧测力计

②打点计时器接在频率为50Hz的交流电源上,图2为实验中打出的一条纸带,从起始点O开始,将此后连续打出的7个点依次标为A、B、C、D….打点计时器打F点时,重物下落的速度为
1.16
1.16
m/s,该重物下落的加速度为
9.60
9.60
m/s2.(结果保留两位有效数字)
(2)某兴趣小组为了测量一待测电阻Rx的阻值,准备先用多用电表粗测出它的阻值,然后再用伏安法精确地测量.实验室里准备了以下器材:
A.多用电表
B.电压表Vl,量程3V,内阻约5kΩ
C.电压表V2,量程15V,内阻约25kΩ
D.电流表Al,量程0.6A,内阻约0.2Ω
E.电流表A2,量程3A,内阻约0.04Ω
F.电源,电动势E=4.5V
G.滑动变阻器Rl,最大阻值5Ω,最大电流为3A
H.滑动变阻器R2,最大阻值200Ω,最大电流为1.5A
I.电键S、导线若干
①在用多用电表粗测电阻时,该兴趣小组首先选用“×10”欧姆挡,其阻值如图3(甲)中指针所示,为了减小多用电表的读数误差,多用电表的选择开关应换用
“×1”
“×1”
欧姆挡;
②按正确的操作程序再一次用多用电表测量该待测电阻的阻值时,其阻值如图3(乙)中指针所示,则Rx的阻值大约是
9
9
Ω;

③在用伏安法测量该电阻的阻值时,要求尽可能准确,并且待测电阻的电压从零开始可以连续调节,则在上述提供的器材中电压表应选
B
B
;电流表应选
D
D
;滑动变阻器应选
G
G
.(填器材前面的字母代号)
④在虚线框内画出用伏安法测量该电阻的阻值时的实验电路图.
(1)利用图1中所示的装置可以研究自由落体运动.实验中需要调整好仪器,接通打点计时器的电源,松开纸带,使重物下落.打点计时器会在纸带上打出一系列的小点.
①为了测得重物下落的速度和加速度,还需要的实验器材有______.(填入正确选项前的字母)
A.天平    B.秒表    C.米尺     D.弹簧测力计

②打点计时器接在频率为50Hz的交流电源上,图2为实验中打出的一条纸带,从起始点O开始,将此后连续打出的7个点依次标为A、B、C、D….打点计时器打F点时,重物下落的速度为______m/s,该重物下落的加速度为______m/s2.(结果保留两位有效数字)
(2)某兴趣小组为了测量一待测电阻Rx的阻值,准备先用多用电表粗测出它的阻值,然后再用伏安法精确地测量.实验室里准备了以下器材:
A.多用电表
B.电压表Vl,量程3V,内阻约5kΩ
C.电压表V2,量程15V,内阻约25kΩ
D.电流表Al,量程0.6A,内阻约0.2Ω
E.电流表A2,量程3A,内阻约0.04Ω
F.电源,电动势E=4.5V
G.滑动变阻器Rl,最大阻值5Ω,最大电流为3A
H.滑动变阻器R2,最大阻值200Ω,最大电流为1.5A
I.电键S、导线若干
①在用多用电表粗测电阻时,该兴趣小组首先选用“×10”欧姆挡,其阻值如图3(甲)中指针所示,为了减小多用电表的读数误差,多用电表的选择开关应换用______欧姆挡;
②按正确的操作程序再一次用多用电表测量该待测电阻的阻值时,其阻值如图3(乙)中指针所示,则Rx的阻值大约是______Ω;

③在用伏安法测量该电阻的阻值时,要求尽可能准确,并且待测电阻的电压从零开始可以连续调节,则在上述提供的器材中电压表应选______;电流表应选______;滑动变阻器应选______.(填器材前面的字母代号)
④在虚线框内画出用伏安法测量该电阻的阻值时的实验电路图.

违法和不良信息举报电话:027-86699610 举报邮箱:58377363@163.com

精英家教网