题目内容

在探究加速度与力、质量的关系的实验中
(1)实验备有下列器材:
A.打点计时器;B.天平(带砝码);C.秒表;D.低压直流电源;E.纸带和复写纸;F.导线、细线;G.小车;H.砝码和小盘;I.带滑轮的长木板.
其中多余的器材是    (填代号)、缺少的器材是   
(2)实验中,得到一条如图所示的纸带,按时间顺序取0、1、2、3、4、5、6都为共7个记数点.0到6每相邻两记数点间各有四个打印点未画出,测得相邻计数点的距离依次为S1=1.40cm,S2=1.90cm,S3=2.38cm,S4=2.88cm,S5=3.39cm,S6=3.87cm.则物体的加速度    m/s2.(结果保留两位有效数字)
【答案】分析:(1)根据实验的具体操作步骤以及所要测量的数据,即可明确所需器材.
(2)根据所给数据,我们采用了逐差法来求物体的加速度,因此根据逐差法即可正确算出物体的加速度大小.
解答:解:(1)由于打点计时器记录通过所打点记录了物体运动时间,因此不需要秒表,电磁打点计时器需要低压交流电源,而不需要低压直流电源,实验需要测量物体运动的位移,因此缺少刻度尺.
故答案为:C、D,低压交流电源、刻度尺.
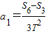
(2)解根据逐差法有:
            ①
           ②
            ③
          ④
联立①②③④代入数据解得:a=0.50m/s2
故答案为:0.50.
点评:本题比较简单,属于基础题目,考查了实验器材和数据处理等基本实验问题,对于实验问题要加强动手能力,亲身体会实验的整个过程.
练习册系列答案
相关题目
(1)用如图1所示装置探究“加速度与力的关系”,已知砂和砂捅的总质童为m,小车的质量为M,实验中用砂和秒桶总重力韵大小作为细线对小车拉力的大小.
①实验中要进行质量m和M的选取,以下最合理的一组是
 

A.M=40g,m=10g、20g、30g、40g、50g
B.M=100g,m=10g、20g、30g、40g、50g
C.M=500g,m=10g、20g、30g、40g、50g
D.M=500g,m=30g、60g、90g、120g、150g
②本实验中应在释放小车
 
(选填“之前”或“之后”)接通打点计时器的电源.图2所示为实验中打出的一条纸带,A、B、C、D、E为计数点,相邻计数点间还有四个点没有画出,计数点间的距离如图所示.已知打点计时器的工作频率为50Hz.则
小车加速度a=
 
m/sZ.(结果保留两位有效数字)
③实验时,某同学由于疏忽,遗漏了平衡摩擦力这一步骤,他测量得到的a-F图象,可能是图3中的
 
图线. (选填“甲”、“乙”或“丙”)
精英家教网
(2)在“测定金属的电阻率”实验中
①用螺旋测微器测量金属丝的直径,结果如图甲所示,其读数为
 
mm;
②用伏安法测金属丝的电阻Rx,实验所用器材为:
电流表(内阻约0.1Ω)?
电压表(内阻约3kΩ)
电池组(电动势为3V,内阻约1Ω)
滑动变阻器R(0-20Ω,额定电流2A)
开关、导线若干
利用以上器材正确连接好电路,进行测量,记录数据如下:
次数 1 2 3 4 5 6 7
U/V 0.10 0.30 0.70 1.00 1.50 1.70 2.30
I/A 0.02 0.06 0.15 0.21 0.29 0.33 0.45
根据上表可以计算出Rx=
 
Ω,可推得测量Rx采用的电路是图
 
(选填“乙”或“丙”)
③本实验关于误差的说法正确的有
 

A.螺旋测微器是非常精密的仪器,测量金属丝直径时不存在误差
B.由于电流表和电压表的内阻引起的误差属于偶然误差
C.实验中通电时间不宜过长,是为了减少因温度变化而带来的误差
D.用U-I图象处理数据求金属丝电阻可以减小偶然误差.
精英家教网

违法和不良信息举报电话:027-86699610 举报邮箱:58377363@163.com

精英家教网