ÌâÄ¿ÄÚÈÝ
ijÊй涨¿¨³µÔÚÊÐÇøÄ³ÌØÊⷶεÄËٶȲ»µÃ³¬¹ý36km/h£®ÓÐÒ»Á¾¿¨³µÔÚΣ¼±Çé¿öϽô¼±É²³µ£¬³µÂÖ±§ËÀ»¬¶¯Ò»¶Î¾àÀëºóÍ£Ö¹£¬½»¾¯²âµÃɲ³µ¹ý³ÌÖгµÂÖ±§ËÀºóµÄ»¬ÐоàÀ볤9m£¬´Ó³§¼ÒµÄ¼¼ÊõÊÖ²áÖвéµÃ¸Ã³µÂÖÌ¥ºÍµØÃæµÄ¶¯Ä¦²ÁÒòÊýÊÇ0.8£®£¨1£©ÇëÄãÅжϿ¨³µÊÇ·ñ³¬ËÙÐÐÊ»£¿£¨¼Ù¶¨É²³µºó¿¨³µ×öÔȼõËÙÖ±ÏßÔ˶¯£©
£¨2£©¼ÝʻԱµÄ·´Ó¦Ê±¼äÊÇ´Ó·¢ÏÖÇé¿öµ½¼¡È⶯×÷²ÈÏÂÖÆ¶¯Æ÷µÄʱ¼ä£®¼ÙÉèÆû³µÉ²³µÖƶ¯Á¦ÊǶ¨ÖµF£¬¼ÝʻԱµÄ·´Ó¦Ê±¼äΪt£¬Æû³µµÄÖÊÁ¿Îªm£¬ÐÐÊ»µÄËÙ¶ÈΪv£¬ÇëÄãÍÆµ¼³ö´Ó¼ÝʻԱ´Ó·¢ÏÖÇé¿öµ½É²³µÍ£ÏÂÊ»¹ýµÄ¾àÀës£¨¼´É²³µ¾àÀ룩µÄ±í´ïʽ£®
¡¾´ð°¸¡¿·ÖÎö£º£¨1£©¸ù¾ÝÅ£¶ÙµÚ¶þ¶¨ÂÉÇó³öɲ³µµÄ¼ÓËÙ¶È£¬½áºÏËÙ¶ÈÎ»ÒÆ¹«Ê½Çó³öɲ³µµÄ³õËÙ¶È£¬´Ó¶øÅжϿ¨³µÊÇ·ñ³¬ËÙ£®
£¨2£©ÔÚ·´Ó¦Ê±¼äÄÚ¿¨³µ×öÔÈËÙÖ±ÏßÔ˶¯£¬Öƶ¯ºó×öÔȼõËÙÖ±ÏßÔ˶¯£¬Á½¶ÎÎ»ÒÆÖ®ºÍΪ¼ÝʻԱ´Ó·¢ÏÖÇé¿öµ½É²³µÍ£ÏÂÊ»¹ýµÄ¾àÀ룮
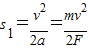
½â´ð£º½â£º£¨1£©¼±É²³µÊ±Æû³µ×ö¼õËÙÔ˶¯µÄ¼ÓËÙ¶ÈΪa=
=¦Ìg=8 m/s2£®
ɲ³µÊ±Æû³µµÄËÙ¶ÈΪv=
=
m/s=12 m/s£¾36 km/h£®
ËùÒÔ£¬¸Ã³µÎ¥¹æ³¬ËÙ£®
£¨2£©Æû³µÉ²³µÊ±¼ÓËٶȵĴóСΪ£ºa=
£»
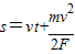
Æû³µ×ö¼õËÙÔ˶¯µÄÎ»ÒÆÎª£º
Æû³µÔÚ¼ÝʻԱ·´Ó¦Ê±¼äÄÚµÄÎ»ÒÆÎª£ºs2=vt
Ôòɲ³µ¾àÀëΪ£º
£®
´ð£º£¨1£©¿¨³µÎ¥¹æ³¬ËÙ£®
£¨2£©´Ó¼ÝʻԱ´Ó·¢ÏÖÇé¿öµ½É²³µÍ£ÏÂÊ»¹ýµÄ¾àÀës£¨¼´É²³µ¾àÀ룩µÄ±í´ïʽ
£®
µãÆÀ£º½â¾ö±¾ÌâµÄ¹Ø¼üÖªµÀÔÚ·´Ó¦Ê±¼ä×öÔÈËÙÖ±ÏßÔ˶¯£¬ÔÚÖÆ¶¯¹ý³ÌÖÐ×öÔȼõËÙÖ±ÏßÔ˶¯£¬½áºÏÅ£¶ÙµÚ¶þ¶¨ÂɺÍÔ˶¯Ñ§¹«Ê½½øÐÐÇó½â£®
£¨2£©ÔÚ·´Ó¦Ê±¼äÄÚ¿¨³µ×öÔÈËÙÖ±ÏßÔ˶¯£¬Öƶ¯ºó×öÔȼõËÙÖ±ÏßÔ˶¯£¬Á½¶ÎÎ»ÒÆÖ®ºÍΪ¼ÝʻԱ´Ó·¢ÏÖÇé¿öµ½É²³µÍ£ÏÂÊ»¹ýµÄ¾àÀ룮
½â´ð£º½â£º£¨1£©¼±É²³µÊ±Æû³µ×ö¼õËÙÔ˶¯µÄ¼ÓËÙ¶ÈΪa=
ɲ³µÊ±Æû³µµÄËÙ¶ÈΪv=
ËùÒÔ£¬¸Ã³µÎ¥¹æ³¬ËÙ£®
£¨2£©Æû³µÉ²³µÊ±¼ÓËٶȵĴóСΪ£ºa=
Æû³µ×ö¼õËÙÔ˶¯µÄÎ»ÒÆÎª£º
Æû³µÔÚ¼ÝʻԱ·´Ó¦Ê±¼äÄÚµÄÎ»ÒÆÎª£ºs2=vt
Ôòɲ³µ¾àÀëΪ£º
´ð£º£¨1£©¿¨³µÎ¥¹æ³¬ËÙ£®
£¨2£©´Ó¼ÝʻԱ´Ó·¢ÏÖÇé¿öµ½É²³µÍ£ÏÂÊ»¹ýµÄ¾àÀës£¨¼´É²³µ¾àÀ룩µÄ±í´ïʽ
µãÆÀ£º½â¾ö±¾ÌâµÄ¹Ø¼üÖªµÀÔÚ·´Ó¦Ê±¼ä×öÔÈËÙÖ±ÏßÔ˶¯£¬ÔÚÖÆ¶¯¹ý³ÌÖÐ×öÔȼõËÙÖ±ÏßÔ˶¯£¬½áºÏÅ£¶ÙµÚ¶þ¶¨ÂɺÍÔ˶¯Ñ§¹«Ê½½øÐÐÇó½â£®
Á·Ï°²áϵÁдð°¸
Ïà¹ØÌâÄ¿