题目内容
一物体由静止开始沿一光滑斜面顶端开始下滑,滑至斜面底端时速度的大小为v,则物体在斜面中点时的速度为( )A.
B.
C.
D.
【答案】分析:根据匀变速直线运动的速度位移公式
求出物体在斜面中点时的速度.
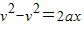
解答:解:对整个过程有:v2=2ax,对物体下滑到斜面中点的过程有:
.联立两式得,
.故B正确,A、C、D错误.
故选B.
点评:解决本题的关键抓住整个过程加速度不变,运用匀变速直线运动的速度位移公式
进行求解.
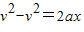
解答:解:对整个过程有:v2=2ax,对物体下滑到斜面中点的过程有:
故选B.
点评:解决本题的关键抓住整个过程加速度不变,运用匀变速直线运动的速度位移公式
练习册系列答案
相关题目