题目内容
一定质量的理想气体,由状态A(1,3)沿直线AB变化到C(3,1),如图所示,气体在A、B、C三个状态中的温度之比是( )A.1:1:1
B.1:2:3
C.3:4:3
D.4:3:4
【答案】分析:根据理想气体状态方程可以整理出温度的表达式,分别代入P、V数值,得到相应的温度.
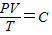
解答:解:根据理想气体状态方程:
(常数)
解得:T=
所以分别代入ABC三点的压强P、体积V
得:VA:VB:VC=3:4:3
故选:C
点评:注意应用理想气体状态方程中,最主要的是找准气体的初末状态所对应的三个状态参量:P、V、T.
解答:解:根据理想气体状态方程:
解得:T=
所以分别代入ABC三点的压强P、体积V
得:VA:VB:VC=3:4:3
故选:C
点评:注意应用理想气体状态方程中,最主要的是找准气体的初末状态所对应的三个状态参量:P、V、T.
练习册系列答案
相关题目
下列说法中不正确的是( )
| A、布朗运动是由液体分子从各个方向对悬浮粒子撞击作用的不平衡引起的 | B、对于一定质量的理想气体,若单位体积内分子个数不变,当分子热运动加剧时,压强一定变大 | C、当两个分子间的距离为r0(平衡位置)时,分子势能最小且一定为零 | D、单晶体和多晶体均存在固定的熔点 |