题目内容
如图所示,质量为4.0kg的物体在与水平方向成37°角、大小为20N的拉力F作用下,沿水平面由静止开始运动,物体与地面间动摩擦因数为0.20;取g=10m/s2,cos37°=0.8,sin37°=0.6;求:(1)物体的加速度大小;
(2)经过2s撤去F,再经3s时物体的速度为多大?
(3)物体在5s内的位移是多少?
【答案】分析:(1)对物体进行受力分析求出合力,根据牛顿第二定律即可求得加速度;
(2)在2s末撤去了拉力F,之后物体将在摩擦力的作用下减速运动,摩擦力作为合力产生加速度,由速度-时间公式先求出减速运动的时间,然后把所给的时间跟此时间进行比较,如果所给时间小于此时间,则公式里的时间就用所给时间,若所给时间大与此时间,说明在此时间之前车已经静止,那只能用此时间进行计算.可以根据速度-时间公式及位移-时间公式求解.
解答:解:(1)对物体受力分析,建立水平、竖直方向直角坐标系,据牛顿第二定律有:

F1-Fμ=ma; FN+F2-mg=0
又:Fμ=μFN;F1=Fcos37°;F2=Fsin37°
故:
=2.6m/s2
(2)v2=at2=2.6×2 m/s=5.2 m/s,
撤去F后,据牛顿第二定律有:-μmg=ma′
故:a′=-μg=-0.20×10 m/s2=-2.0 m/s2
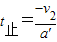
由于:
=2.6s<3 s
则撤去F后,再经3s,即5s末时速度为:v5=0
(3)前2s内物体位移:s1=
m=5.2m
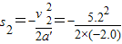
后3s内物体的位移:s2=
m=6.76m
或:
m=6.76m
物体5s内位移:s=s1+s2=(5.2+6.76)m=11.96m
答:(1)物体的加速度大小为2.6m/s2;
(2)经过2s撤去F,再经3s时物体的速度为0;
(3)物体在5s内的位移是11.96m.
点评:物体先是匀加速直线运动,后是匀减速直线运动,在求物体的运动时间的时候要注意,物体的总运动的时间并不是5s,这是同学出错的地方,对于减速运动一定要注意物体运动的时间.
(2)在2s末撤去了拉力F,之后物体将在摩擦力的作用下减速运动,摩擦力作为合力产生加速度,由速度-时间公式先求出减速运动的时间,然后把所给的时间跟此时间进行比较,如果所给时间小于此时间,则公式里的时间就用所给时间,若所给时间大与此时间,说明在此时间之前车已经静止,那只能用此时间进行计算.可以根据速度-时间公式及位移-时间公式求解.
解答:解:(1)对物体受力分析,建立水平、竖直方向直角坐标系,据牛顿第二定律有:
F1-Fμ=ma; FN+F2-mg=0
又:Fμ=μFN;F1=Fcos37°;F2=Fsin37°
故:
(2)v2=at2=2.6×2 m/s=5.2 m/s,
撤去F后,据牛顿第二定律有:-μmg=ma′
故:a′=-μg=-0.20×10 m/s2=-2.0 m/s2
由于:
则撤去F后,再经3s,即5s末时速度为:v5=0
(3)前2s内物体位移:s1=
后3s内物体的位移:s2=
或:
物体5s内位移:s=s1+s2=(5.2+6.76)m=11.96m
答:(1)物体的加速度大小为2.6m/s2;
(2)经过2s撤去F,再经3s时物体的速度为0;
(3)物体在5s内的位移是11.96m.
点评:物体先是匀加速直线运动,后是匀减速直线运动,在求物体的运动时间的时候要注意,物体的总运动的时间并不是5s,这是同学出错的地方,对于减速运动一定要注意物体运动的时间.
练习册系列答案
相关题目