题目内容
已知地球半径约为
,月球绕地球的运动可近似看做匀速圆周运动,估算月球到地心的距离.(结果只保留一位有效数字)
答案:400000000m
解析:
解析:
|
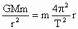
解法一:若记住地球质量
解得 代人数据解得 解法二:若没记住G,M值,可以利用在地球表面处重力等于万有引力,则有 又 代入数据解得 解法三:根据月球绕地球运动的向心加速度是地面上重加速度的 代入数据得 题中已知条件仅给出地球半径,要求估算月球到地心的距离,关键是根据万有引力定律和匀速圆周规律,先补充已知条件,再利用变形公式求解,补充的已知条件不同,解题方法也就不同. 应用万有引力定律对天体进行计算时,由于天体质量、天体间距离较大,加上引力常量 |
练习册系列答案
相关题目
2011年12月22日11时26分,我国在太原卫星发射中心用长征四号乙运载火箭,成功将“资源一号”02C卫星送入太空.至此,2011年共实施了19次航天发射任务.火箭点火起飞约13分钟后,西安卫星测控中心传来的数据表明,星箭分离,卫星成功进入离地高度约770km的圆轨道,绕地球做匀速圆周运动.已知地球半径约为6400km.关于“资源一号”02C卫星,下列说法正确的是( )
| A、它的运行速度比第一宇宙速度更大 | B、它的加速度比地球表面的重力加速度更小 | C、它的运行周期应该小于24小时 | D、它离地的高度比地球同步卫星更大些 |