题目内容

某同学在“探究小车速度随时间变化的规律”的实验中,用打点计时器记录了被小车拖动的纸带的运动情况,在纸带上确定出A、B、C、D、E、F、G共7个计数点。其相邻点间的距离如图所示,每两个相邻的计数点之间还有4个打印点未画出。

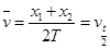
(1)试根据纸带上各个计数点间的距离,计算出打下B、C、D、E、F五个点时小车的瞬时速度,并将各个速度值填入下表要求保留3位有效数字。 

 

 

 

 

 


(2)小车加速度a=              m/s2

 

【答案】

 (1) 0.400  0.721 (2)0.734

【解析】

试题分析:(1)由于每两个相邻的计数点之间还有4个打印点未画出,所以打点周期T=0.1s,设AB、BC、CD、DE、EF、FG之间的距离分别为,做匀变速直线运动的物体平均速度等于时间中点的瞬时速度既,所以=0.400m/s,同理=0.721m/s。

(2)根据加速度=0.734 m/s2

考点:

 

练习册系列答案
相关题目
某同学在“探究小车速度随时间变化规律”的活动中,如图1所示,用打点计时器记录被小车拖动的纸带的运动情况,在纸带上确定出A、B、C、D、E、F、G共7个计数点,其相邻点间的距离如图3所示,每个相邻的计数点间的时间间隔为0.10s.
精英家教网
(1)按照实验进行的先后顺序,将下述步骤的代号填在横线上
 

A.把穿过打点计时器的纸带固定在小车的后面
B.把打点计时器固定在木板的没有滑轮的一端,并连好电路
C.换上新的纸带,再重做两次
D.把长木板平放在实验桌上,并使滑轮伸出桌面
E.使小车停在靠近打点计时器处,接通电源,放开小车,让小车运动
F.把一条细绳拴在小车上,细绳跨过定滑轮,下边吊着合适的钩码
G.断开电源,取出纸带
(2)试根据纸带上各个计数点间的距离,每隔0.10s测一次速度,计算出打下B、C、D、E、F五个点时小车的瞬时速度,并将各个速度值填入下表(结合纸带数据,选择从理论上看误差较小的方法计算瞬时速度.结果保留3位有效数字)
(3)从A点开始计时,将B、C、D、E、F各个时刻的瞬时速度描在直角坐标系中,如图2所示,并画出小车的瞬时速度(υ)随时间(t)的变化图线.
(4)根据画出的υ-t图线可得小车速度随时间变化的
规律是:
 

依据是:
 

(5)在实验中,甲同学选择用AD间的平均速度代替B点的瞬时速度,乙同学选用AC间的平均速度代替B点的瞬时速度,丙同学选用AB间的平均速度代替B点的瞬时速度,你认为三位同学中比较准确的是
 

违法和不良信息举报电话:027-86699610 举报邮箱:58377363@163.com

精英家教网