题目内容
在变速运动中,物体的速度由0增加到v,再由v增加到2v,合外力做功分别为W
和W
,则W
与W
之比为
A. 1:1 B. 1:2 C. 1:3 D. 1:4
【答案】
C
【解析】
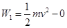
试题分析:根据动能定理合外力做功等于动能变化量。所以
,
所以有![]()
考点:动能定理
练习册系列答案
相关题目
在变速运动中,物体的速度由0增加到v,再由v增加到2v,合外力做功分别为W1和W2,则W1与W2之比为( )
| A、1:1 | B、1:2 | C、1:3 | D、1:4 |
图甲为传感器显示变速运动中两物体的作用力与反作用力的实验装置,图乙为两个钩子的受力情况,横坐标是时间,纵坐标是力的大小,假设桌面是光滑的。则从图象上可获得的信息有 ( )![]()
| A.任何时刻作用力与反作用力大小相等,方向相反 |
B.任何时刻作用力与反作用力大小相等,方向相 同[来源:Z&xx&k.Com] |
| C.作用力与反作用力同时产生但不同时消失 |
| D.此图线一定要在两物体都处于静止状态下才能显示。 |
同[来源:Z&xx&k.Com]