题目内容
一固定斜面长为l=12.5m,倾角为θ=30°,斜面动摩擦因素为μ=
【答案】分析:物体在力F的推动下加速上滑,提前撤销,使的物体运动到最高点时,速度恰好减为零,则推力F用时最短;先根据牛顿第二定律求解出加速和减速的加速度,然后根据运动学公式列式求解.
解答:解:物体在力F作用下先加速后减速,到达最高点速度恰好为零,则力F用时最短;
匀加速阶段:
根据牛顿第二定律,有
①
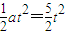
根据位移时间公式,有
S1=
②
根据速度时间公式,有
v=a1t=5t ③
匀减速阶段:
根据牛顿第二定律,有
=-20m/s2 ④
根据速度位移公式,有
⑤
总位移
S=S1+S2=l ⑥
由①~⑥解得
t=2s
即力F作用的最短时间为2s.
点评:本题关键是受力分析后根据牛顿第二定律求解出加速度,然后根据运动学公式列式求解.
解答:解:物体在力F作用下先加速后减速,到达最高点速度恰好为零,则力F用时最短;
匀加速阶段:
根据牛顿第二定律,有
根据位移时间公式,有
S1=
根据速度时间公式,有
v=a1t=5t ③
匀减速阶段:
根据牛顿第二定律,有
根据速度位移公式,有
总位移
S=S1+S2=l ⑥
由①~⑥解得
t=2s
即力F作用的最短时间为2s.
点评:本题关键是受力分析后根据牛顿第二定律求解出加速度,然后根据运动学公式列式求解.
练习册系列答案
相关题目