题目内容

如图所示,静止在光滑水平面上的小车质量为M=20 kg.从水枪中喷的水柱,横截面积为S=10 cm2,速度为v=10 m/s,水的密度为ρ1.0×103 kg/m3.若用水枪喷出的水从车后沿水平方向冲击小车的前壁,且冲击到小车前壁的水全部沿前壁淌入小车中.

(1)求当有质量为m=5 kg的水进入小车时,小车的速度大小;

(2)若将小车固定在水平面上,且水冲击到小车前壁后速度立即变为零,求水对小车的冲击力大小.

答案:
解析:

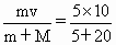
  解:(1)淌入小车的水与小车组成的系统动量守恒,当淌入质量为m的水后,小车速度为v1,则有mv=(m+M)v1

  解得:v1 m/s2 m/s(6分)

  (2)在极短的时间Δt内,冲击小车的水v1的质量为Δm=ρsvAt

  此时,水对车的冲击力为F,据动量定理有

  -FΔt=0-Δmv

  F=ρSv21.0×103×10×10-4×102100 N(6分)


练习册系列答案
相关题目

违法和不良信息举报电话:027-86699610 举报邮箱:58377363@163.com

精英家教网