题目内容

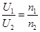
如图甲所示,理想变压器原、副线圈 的匝数比为n1: n2=10:1, R1 =20Ω,R2 =30Ω, R3 =30Ω, C为电容器。已 知通过R1的正弦交流电电流如图乙所示,下列说法正确的是

A. 交流电的频率为0.02Hz

B. 原线圈输入电压的最大值为200V

C. 电阻R2的电功率约为6.67W

D.通过R3的电流始终为零

 

【答案】

B C 

【解析】

试题分析:由图乙知交流电的周期为0.02s,根据变压器原理可知原副线圈中电流的周期、频率相同,周期为0.02s、频率为50赫兹,故选项A错误;由图乙可知通过的电流最大值为A,根据欧姆定律可知其最大电压为V,即副线圈的输出电压最大值V,根据V,故选项B正确;由W,故选项C正确;因为电容器有通交流、阻直流的作用,则有电流通过和电容器,故选项D错误.

考点:本题考查对交流电的图象的理解和应用,明确交流电的最大值,有效值之间的关系;掌握变压器的电压之比和匝数比之间的关系,同时对于电容器的作用要了解.

 

练习册系列答案
相关题目

违法和不良信息举报电话:027-86699610 举报邮箱:58377363@163.com

精英家教网