题目内容
如图所示,质量为m的小球位于距水平地面高度H处的P点,在水平地面的上方存在一定厚度的“作用力区域”,如图中的虚线部分.当小球进入“作用力区域”后将受到竖直向上的恒定作用力F,F=6mg,F对小球的作用刚好使从P点静止释放的小球不与水平地面接触.H=24m,g=10m/s2. 求:作用力区域的厚度h=?
【答案】分析:小球先做自由落体运动再做匀减速运动,根据受力求得匀减速的加速度大小,再根据小球初速度为0,末速度为0自由落体运动的末速度是匀减速运动的初速度,根据速度、加速度关系求得时间关系,由时间关系求出位移关系,从而求解.
解答:解:小球在作用力区域上方的运动是自由落体运动,设运动时间为t1,进入作用力区域的速度是v,在作用力区域内是匀减速运动,设加速度大小是a,运动时间为t2,则:
小球在自由落体运动中有:
v=gt1 ①
小球在匀减速直线运动中有:
0=v-at2 ②
由①②得:
gt1=at2 ③
在作用力区域上小球受两个力,根据牛顿第二定律有:
④
由③和④得:
t1=5t2
小球自由落体运动中有:
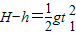
⑤
小球匀减速运动有:
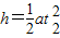
⑥
由②和⑥得:
⑦
所以有:
代入H=24m,可和h=4m.
答:作用力区域的厚度h=4m.
点评:抓住自由落体运动的运动特征和匀减速运动的特征,根据加速度和速度关系关系求运动的时间关系,熟练掌握运动特征是解决问题的关键.(此题用动能定理求解更方便)
解答:解:小球在作用力区域上方的运动是自由落体运动,设运动时间为t1,进入作用力区域的速度是v,在作用力区域内是匀减速运动,设加速度大小是a,运动时间为t2,则:
小球在自由落体运动中有:
v=gt1 ①
小球在匀减速直线运动中有:
0=v-at2 ②
由①②得:
gt1=at2 ③
在作用力区域上小球受两个力,根据牛顿第二定律有:
由③和④得:
t1=5t2
小球自由落体运动中有:
小球匀减速运动有:
由②和⑥得:
所以有:
代入H=24m,可和h=4m.
答:作用力区域的厚度h=4m.
点评:抓住自由落体运动的运动特征和匀减速运动的特征,根据加速度和速度关系关系求运动的时间关系,熟练掌握运动特征是解决问题的关键.(此题用动能定理求解更方便)
练习册系列答案
相关题目
| A、地面对楔形物块的支持力为(M+m)g | B、地面对楔形物块的摩擦力为零 | C、楔形物块对小物块摩擦力可能为零 | D、小物块一定受到四个力作用 |