题目内容
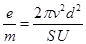
如图所示,A、B为两块足够大的相距为d的平行金属板,接在电压为U的电源上。在A板的中央P点放置一个电子发射源。可以向各个方向释放电子,射出的初速度为v,电子打在B板上的区域面积为S,(不计电子的重力),试求电子的比荷
![]()
【答案】
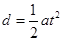
![]()
【解析】
试题分析:打在平行金属板最边缘的电子,其速度方向平行于金属板,在电场中做类平抛运动,在垂直电场方向做匀速直线运动,即
(1)
在平行电场方向做初速度为零的匀加速直线运动,即
(2)
电子在平行电场方向上的加速度;
(3)
电子打在B板上的区域面积:
(4)
由以上几式可得![]()
考点:带电粒子在电场中的偏转,运动的合成与分解,牛顿第二定律
练习册系列答案
相关题目
| A、从c到d电势先减小后增大 | B、在cd间做往复运动,经O点时速度最大 | C、从c到O加速度减小,从O到d加速度增大 | D、运动过程中动能与电势能总量不变 |