题目内容
如图所示的电路中,已知电源的电动势E=14V,内阻不详,R1=12Ω,R2=4Ω.电阻R3未知,将理想的安培表和伏特表接入电路中后,安培表的读数为1A,伏特表的读数为4V,试求出电源的内电阻和R3的阻值.
【答案】分析:理想的安培表和伏特表不考虑电表对电路的影响.电路的结构是:R2与串联R3后与R1并联.由R1的阻值和电流表读数求出路端电压,R3的电压可求出,由欧姆定律求出R3.由R2的阻值和电压表读数求出R2的电流,可得到干路电流,再根据欧姆定律求出电源的内阻.
解答:解:路端电压 U=I1R1=12V
流过R2的电流
A
则干路电流I=I1+I2=2A
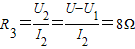
由E=U+Ir得:r=
=1Ω

答:电源的内电阻为1Ω,R3的阻值为8Ω.
点评:本题是简单的直流电路的分析和计算,首先要弄清电路的结构,分析串联、并联电路的特点,运用欧姆定律一定能正确解答.
解答:解:路端电压 U=I1R1=12V
流过R2的电流
则干路电流I=I1+I2=2A
由E=U+Ir得:r=
答:电源的内电阻为1Ω,R3的阻值为8Ω.
点评:本题是简单的直流电路的分析和计算,首先要弄清电路的结构,分析串联、并联电路的特点,运用欧姆定律一定能正确解答.
练习册系列答案
相关题目