题目内容
在如图所示的倾角为θ的光滑斜面上,存在着两个磁感应强度大小为B的匀强磁场,区域I的磁场方向垂直斜面向上,区域Ⅱ的磁场方向垂直斜面向下,磁场的宽度均为L,一个质量为m、电阻为R、边长也为L的正方形导线框,由静止开始沿斜面下滑,t1时 ab边刚越过GH进入磁场Ⅰ区,此时线框恰好以速度 v1做匀速直线运动;t2时ab边下滑到JP与MN的中间位置,此时线框又恰好以速度v2做匀速直线运动。重力加速度为g,下列说法中正确的有:( )![]()
| A.t1时,线框具有加速度a=3gsinθ |
| B.线框两次匀速直线运动的速度v1: v2=2:1 |
| C.从t1到t2过程中,线框克服安培力做功的大小等于重力势能的减少量 |
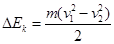
| D.从t1到t2,有 |
D
解析试题分析:t1时,线框恰好以速度 v1做匀速直线运动,加速度等于零,A错;t1时因线框做匀速直线运动得到
,
,t2时
,
联立得v1: v2=4:1,B错;从t1到t2过程中,线框克服安培力做功的大小等于重力势能的减少量加动能的减小量,C错;从t1到t2,重力势能的减少量
,动能的减小量
,所以转化的电能为
,D对。
考点:受力分析,安培力公式,动能定理
点评:学生清楚安培力一定阻碍导体的运动,导体克服安培力做的功转化为电能,可用功能关系去分析。
练习册系列答案
相关题目
| A、当ab边刚越好JP时,导线框具有加速度大小为a=gsinθ | ||||
| B、导线框两次匀速直线运动的速度v1:v2=4:1 | ||||
| C、从t1到t2的过程中,导线框克服安培力做功的大小等于重力势能的减少 | ||||
D、从t1到t2的过程中,有
|
| A、v2=4v1 | B、v2=v1 | C、从ab进入GH到MN与JP的中间位置的过程中,机械能减小了W2 | D、从ab进入GH到MN与JP的中间位置的过程中,线框动能的变化量大小为△Ek=W2-W1. |