题目内容
下图为“探究加速度与力、质量的关系”实验中用打点计时器打出的一条较理想的纸带,已知打点计时器打点时间间隔为0.02s,纸带上A、B、C、D、E、F、G为七个相邻的计数点,若以每5个时间间隔取一个计数点,则由纸带记录的数据可知,小车经过E点时的速度为 m/s,小车运动的加速度为 m/s2.(保留二位有效数字)
【答案】分析:根据匀变速直线运动中时间中点的速度等于该过程中的平均速度,可以求出打纸带上E点时小车的瞬时速度大小;根据匀变速直线运动的推论公式△x=aT2可以求出加速度的大小.
解答:解:每打五个点取一个计数点,又因打点计时器每隔0.02s打一个点,所以相邻两计数点间的时间T=0.1s;
根据匀变速直线运动中时间中点的速度等于该过程中的平均速度,有:
vE=
=0.84m/s
根据匀变速直线运动的推论公式△x=aT2可以求出加速度的大小,
根据逐差法有:
a1=
a2=
a3=
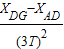
a=
=
=1.6m/s2.
故答案为:0.84,1.6.
点评:要提高应用匀变速直线的规律以及推论解答实验问题的能力,在平时练习中要加强基础知识的理解与应用.
解答:解:每打五个点取一个计数点,又因打点计时器每隔0.02s打一个点,所以相邻两计数点间的时间T=0.1s;
根据匀变速直线运动中时间中点的速度等于该过程中的平均速度,有:
vE=
根据匀变速直线运动的推论公式△x=aT2可以求出加速度的大小,
根据逐差法有:
a1=
a2=
a3=
a=
故答案为:0.84,1.6.
点评:要提高应用匀变速直线的规律以及推论解答实验问题的能力,在平时练习中要加强基础知识的理解与应用.
练习册系列答案
相关题目